0
svar
256
visningar
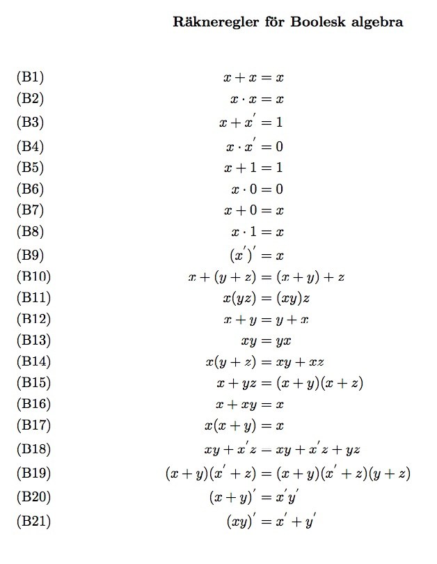
Boolesk algebra
Förenkla det logiska uttrycket med hjälp av räknelagarna i booleska algebran:
ae + abc'd + bc'e'
Har fastnat försöker få B18 att funka kanske?
