2 svar
150 visningar
Aedrha behöver inte mer hjälp
Aedrha 96
Postad: 21 jan 2022 18:39

Borde vara en enkel differential ekvation

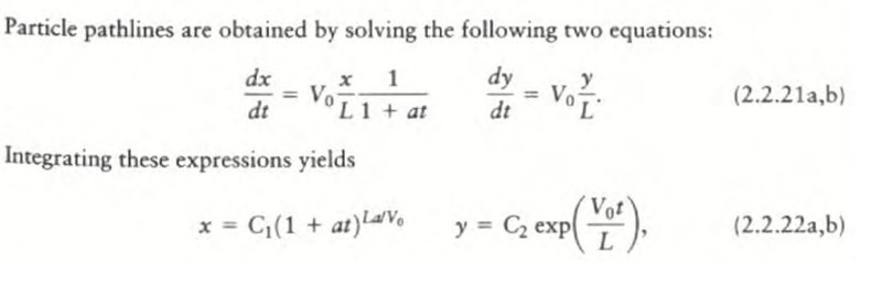
Tjenare sitter här och tittar på lite flödes mekanik.
Mitt i läsandet kom jag över en diffekvation som jag inte får rätt på.

Det är dxdt=V0xL11+at och lösningen där som förvirrar mig. Så här räknar jag:
dxdt=V0xL11+atdxdt-V0xL11+at=0integrerande faktor:g(t)=-V0L11+atG(t)=-V0Laln(1+at)G(t)=ln11+atV0La

sen så multiplicerar jag båda leden med eG(t) och integrerar med avseende på t

eG(t)dxdt-V0xL11+at=0·eG(t)(1+at)-V0Ladxdt-V0xL11+at=0  dxdt(1+at)-V0La-V0L(1+at)-V0La+1=0 x(1+at)-V0Ladt=0x(1+at)-V0La=Cx=C(1+at)V0aL


Här på slutet märker jag att exponenten jag fått fram V0/aL är inverterad jämfört med bokens. Har jag gjort fel någonstans?


Tack och trevlig helg!

PATENTERAMERA Online 7524
Postad: 22 jan 2022 05:58

Derivera din lösning och facits lösning map t och se vilken lösning som ger tillbaka ursprungsekvationen dxdx=V0xL·11+at.

henrikus 679
Postad: 22 jan 2022 09:31

Ekvationen är separabel

dxdt=V0xL11+atdxx=V0Ldt1+atlnx=V0Laln(1+at)+Cx=eV0Laln(1+at)+C=C1(1+at)V0La

Samma som du har kommit fram till. Verkar vara fel i facit.

Svara
Close