4
svar
73
visningar
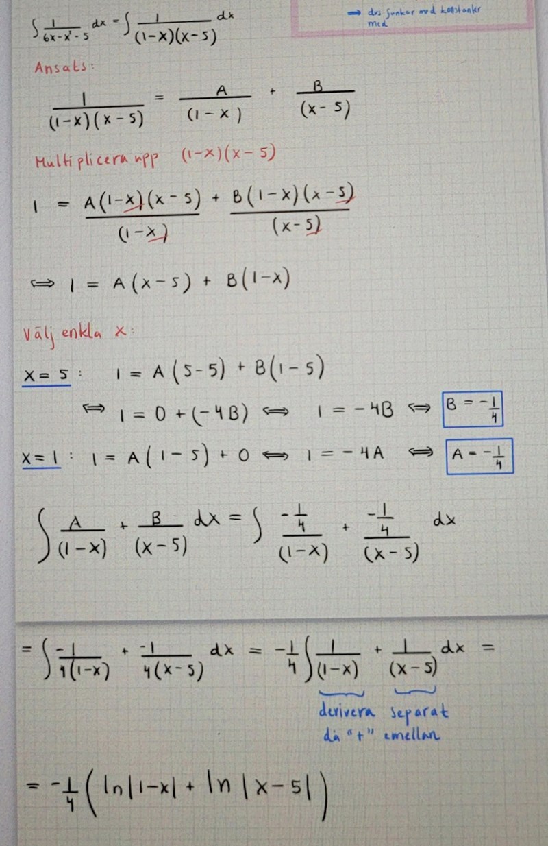
offan123 skrev:Har jag fått ut rätt A och B?
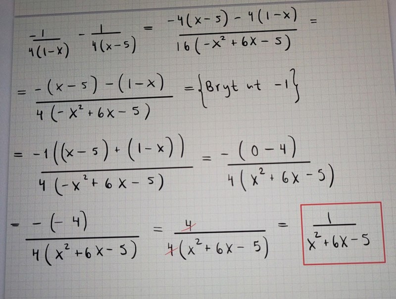
Har du kontrollerat om det är rätt, dvs om (-1/4)/(1-x)-(1/4)/(x-5) = 1/(6x-x2-5)?
- Om ja, vad gav kontrollen?
- Om nej, varför inte?
Jag har fått samma så då är inte A och B fel, då är något annat fel i mina beräkningar. För facit får 1/4(ln((1-x)/x-5)) + c
Det är inte samma, jämför nämnarnas tecken
Jag skrev fel, det ska vara -x^2+6x-5 i nämnaren (mot slutet råkade jag ta bort minustecknet)
