6
svar
119
visningar
Bråk
Hej!
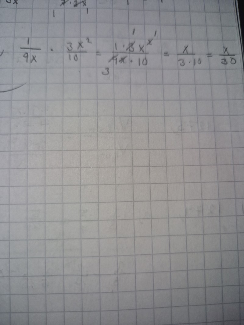
Jag undrar om min "metod" och redovisning av den här multiplikationen är korrekt?

Yessir. :)
Du behöver inte skriva något ovanför talen du strukit dock.
Men det är alltså korrekt att stryka potensen (2:an) och skriva en 1:a över? Det är mest den delen jag är osäker på.
Man kan göra det en gång, men om du ser ngn ytterligare faktor att förkorta, så fortsätt inte på samma ställe så att du får ytterligare överstrykningar, utan skriv likhetstecken och ett nytt led. Det blir annars svårläst för den som rättar och rörigt för dig.
Så det är okej att göra som jag har gjort?
Ja, det är Ok.
Tack för svaret!