Brister motiveringen? Gränsvärde, flervariabel

Är uppskattningen ok, eller inte?
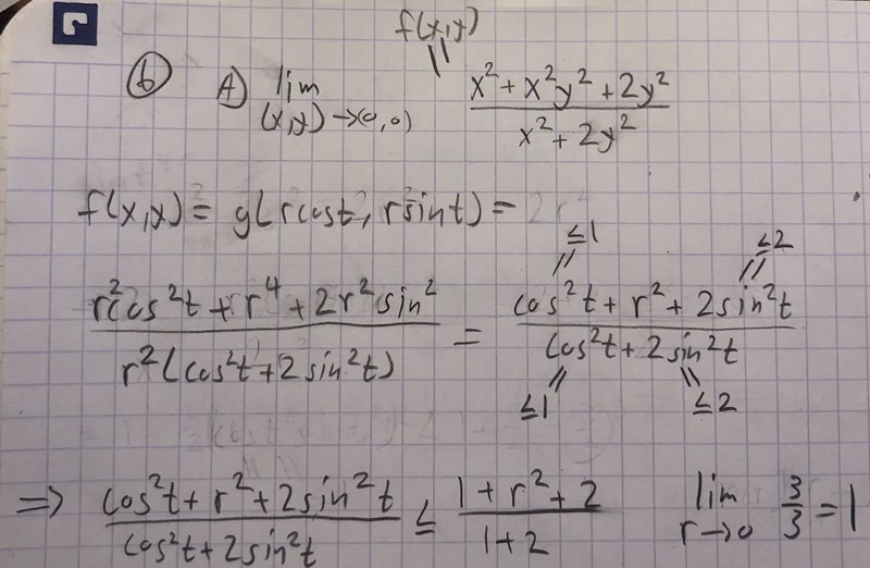
x2y2 = r4 ??
Sedan påstår du att termer är ≤ något, men om täljaren och nämnaren båda är ≤ något så kan kvoten fortfarande vara vad som helst. Så svaret kan vara riktigt, men jag blir inte övertygad av motiveringen.
Visa spoiler
… = (x2+2y2)/(x2+2y2) + x2y2/(x2+2y2) = 1 + r4 sin2v cos2v /[r2 (1+sin2v)] =
= 1 + r2 [sin2v cos2v /(1+sin2v)]
Den sista klammerparentesen ≤ 1 och r2 går mot 0 när r går mot 0.
Mogens skrev:x2y2 = r4 ??
Sedan påstår du att termer är ≤ något, men om täljaren och nämnaren båda är ≤ något så kan kvoten fortfarande vara vad som helst. Så svaret kan vara riktigt, men jag blir inte övertygad av motiveringen.
såklart .. Tanken var att uppskatta ner uttrycket till r^4. Så det ska ej va =.
Tanken med uppskattningarna är att få en övre gräns av cos/sin pga att de uttrycken endast ger positiva värden.
Svaret är rätt, men det är motiveringen jag är tveksam till, om det ger fullpott på uppgiften.
Nej jag tycker inte din motivering håller.
tag t ex |tan x|
det är = |sin x| / |cos x|
både täljare och nämnare är positiva och mindre eller lika med 1, men | tan x | kan bli hur stort som helst.