Broms -mekanik
Har en uppgift på en bromsback som är mycket lik en uppgift jag hittat på nätet.
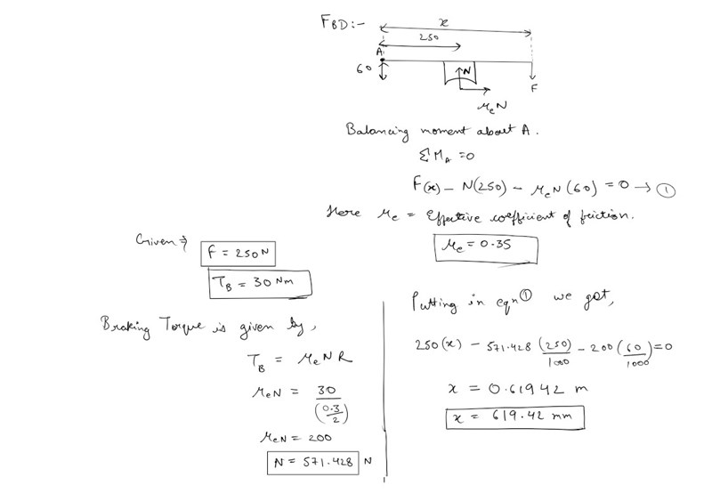
Jag hänger med på alla beräkningarna fram till N=571.428 N. Hur räknar man för att få fram värdet för N?
Jag förstår inte bilden och jag har svårt att gissa vad frågan är. Jag gissar lite här.
Jag antar att det inte är själva beräkningen av N som du inte förstår. Det verkar bara vara att sätta in siffror i formeln, även om jag inte ser var 0,3/2 kommer ifrån. Därför antar jag att du undrar varifrån
TB=myeNR
kommer ifrån.
"Breaking torque", TB , betyder bromsande moment d.v.s. en kraft gånger en hävarm. Kraften här är bromsbackens friktionskraft, myeN. Av någon anledning är hävarmen R. Det tyder på att bromsbacken trycker på avståndet R från rotationsaxeln, men jag förstår inte figuren så jag har svårt att se att det skulle vara så.
Hjälper det dig?
Det är själva beräkningen av N som inte blir rätt.
(Bild på den uppgift som jag har är medskickad)
Va bra, där ser man var 0,3/2 kommer ifrån. Det är hävarmen för bromsbackens friktionskraft och det är den som de kallar R.