Bromsverkan
Hej skulle det gå att använda sig av Diff ekv. för att beräkna bromsverkan av ett fordon ?
Så enkelt, tydligt och okrångligt som möjligt om det är möjligt ?..
T ex skulle man kanske kunna utgå från den vanliga uppställningen ;
yh = Ce^-kt ,, där
y(t) är momentanhastigheten vid varje t
C- är utgångshastigheten v(0)
-k är bromsverkan i procent med vilken momentanhastigheten minskar
Nu saknar ju formeln fordonets massa,, men provade ändå att lägga in lite värden på måfå för att se hur det blev ; v(0) = 25 m/s , -k = -0.15 ,,tänkte 15% kunde verka rimligt och sätter t = 10 s bara för att testa ;
y(h) = 25e^-1.5 = 5.578... ca 5.6 m/s
dvs ca 20 km/h är hastigheten efter 10 sekunders inbromsning med en starthastighet på 90 km/h ,, låter som riktigt usliga bromsar, men kanske rimligt på ett långt järnvägs-set ?
Som sagt bara för att testa hur det blir, en sak är ju att beräkning med exponent gör att bromsverkan successivt ökar ju lägre momentanhastigheten blir,, vilket ändå iaf i teorin känns lite trovärdigt,, tex för ett långt järnvägs-set är bromsverkan rätt dålig de första metrarna, medan de sista centimetrarna tar bromsarna så mycket bättre eftersom (mv) är så pass mycket mindre då ....
Så det jag undrar är ,, går det att på något sätt använda sig av denna enkla formel och hur infogar man massan i en sån ekvation isf ??
hoppas frågan inte är för dum))
Är det förresten sen underförstått så i formeln ovan, att massan är 100 %(av vad ?) dvs lika med 1 ? och att formeln därför eg. är : y(h) = 1*Ce^-kt ,, ?
En liten lös tråd bara,, som jag hoppas det finns nån "ände" på
Allt gott !
Kort svar är nej. Detta därför att bromskrafterna inte är så beroende på hastigheten som du antar. Decelerationen kan faktiskt antas vara konstant som mycket god approximation i de flesta vardagliga situationer.
Vad betyder bromsverkan egentligen? Jag är imponerad av din uppfinningsrikedom och vill verkligen inte slå ned ditt försök att modellera världen omkring dig. Se enbart nedan som ett försök till att styra dig i en mer korrekt riktning.
Differentialekvationer
Ja, du kan använda en differentialekvation för att beskriva bromsprocessen. Inom fysik är differentialekvationer grunden för all dynamisk beskrivning. Det du har gjort är att börja i fel ände då du inte försökt lösa en differentialekvation utan du har enkelt sagt skrivit en slags godtycklig lösning. Differentialekvationen som detta är en lösning på är:
med begynnelsevillkor och
Vi får från detta följande lösning på "momentanhastigheten för varje t":
Frågan här är vad egentligen är. Den bör beskriva decelerationen på något vis. Jag kan så klart berätta för dig vad den i en verklig situation skulle beskriva men jag tycker du kan försöka lista ut det.
En annan modell
Jag lägger nedan under spoiler då det kan vara överkurs men du kan läsa det om du är intresserad.
Visa spoiler
En bra modell för bromsprocessen är att anta accelerationen som konstant och bortse från luftmotstånd, detta ger följande differentialekvation:
där accelerationen är någon konstant. Vi får följande lösning på denna differentialekvation:
Här är och konstanter vi kan bestämma med begynnelsevärden. Dessa är för vår situation att begynnelsehastigheten är och att startsträckan är noll . Vi får därmed:
Detta borde du känna igen som "sträckformeln" du lär dig om i fysik 1. Vi kan skriva om denna på följande sätt genom att sätta allt under en gemensam nämnare:
Vi vet också om en hastighetsformel som är:
Om vi stoppar in denna i vår omskrivning av sträckformeln får vi:
Om vi bryter ut tiden ur hastighetsformeln och stoppar in i ovan får vi:
Om vi bryter ut sluthastigheten får vi:
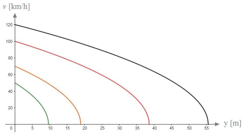
För en bil som åker i 100 km/h och bromsar är medelaccelerationen ca. 10 m/s2 vilket ger följande graf för hastighet mot sträcka:

Här kan vi se hur bromssträckan varierar för olika begynnelsehastigheter:

Tack för supporten ! )