Bryta bindning- frigöra energi eller tillföra energi?
När jag läste om entalpi idag så stod det följande: "när en bindning bryts måste det tillföras energi, när en bindning uppstår så frigörs energi, utan undantag." Det i sig känns ju rätt logiskt, eftersom det krävs aktiveringsenergi när det ska ske en reaktion- alltså tillföras energi.
Det jag då blir förvirrad över är att när jag läser om energin i ATP så står det att den finns i bindningarna till fosfatet, och att energin där frigörs när bindningarna bryts (och ADP bildas). Det i sig låter ju också logiskt, men jag förstår inte hur det är förenligt med det andra påståendet, att det krävs energi för att bryta bindningarna. Någon som kan hjälpa mig reda ut detta? Krävs det först energi för att bryta bindningen i ATP och därefter frigörs det energi? Jag vet att om en reaktion är exoterm, så tillförs först aktiveringsenergi, och därefter frigörs ju energi när nya bindningar uppstår, men i fallet med ATP så har det ju inte bildats några nya bindningar som kan ha lägre energi, eller? Utan det som hänt är att bindningen har brutits så att det bildas ADP + Pi? Detta gäller säkert flera typer av reaktioner, så jag undrar ju generellt hur man ska tänka, men också specifikt med ATP.
Någon som skulle vilja förklara hur jag bör tänka?
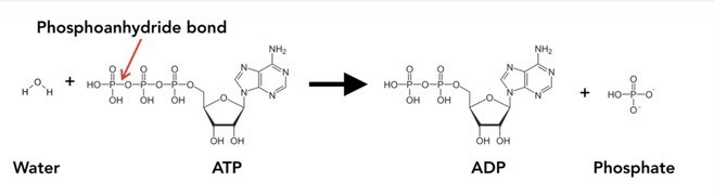
ATP har tre fosfatgrupper (alfa, beta, gamma kallas grupperna räknat från ribossockret), och i biologiska sammanhang (enzymer m.m.) bryts oftast bindningen antingen mellan den andra (beta) och den tredje fosfatgruppen (gamma). Eller mellan den första (alfa) och den andra (beta) fosfatgrupperna.
I samband med att denna bindning bryts, bildas mycket riktigt en ny bindning, precis som du beskrev. Vilken denna nya bindning blir beror på vilken reaktion som sker. Är det t.ex. en fosforylering av glukos för att bilda glukos-6-fosfat (som i det första steget i glykolysen) bildas den nya bindningen mellan fosfatgruppen och glukos.
När energin i ATP används för att få ett mekaniskt arbete att ske, t.ex. som när muskelproteinerna rör sig (så att muskelfibrerna och musklerna kan dra ihop sig), bryts bindningen men den nya bindningen bildas till en molekyl vatten. Detta vatten ritas ibland (oftast till och med) inte ut, motsvarande i bilden nedan.

Och trots att reaktionen frigör massvis med energi, behöver en (i sammanhanget) liten liten mängd energi tillföras för att få t.ex. vattenmolekylen att attackera ATP och klyva bindningen. Man brukar beskriva det som att den aktiveringsenergin tas ifrån omgivningens energi i form av värme. Och jo, faktiskt i båda de exemplen jag gav så bildas en ny bindning till fosfatgruppen, som har en lägre energi.