2 svar
83 visningar
jalsho behöver inte mer hjälp
jalsho 335
Postad: 19 nov 2025 20:23

Bryta ut

Hej

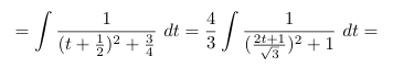
Hur bryter man ut 3/4 ur nämnaren

AlexMu Online 1088
Postad: 19 nov 2025 20:29 Redigerad: 19 nov 2025 20:30

Några steg för att bryta ut 3/4 ur kvadrattermen:

t+122=2t+122=32·2t+132=3222t+132=342t+132\displaystyle \left(t+\frac 12\right)^2 = \left(\frac{2t+1}{2}\right)^2 = \left(\frac{{\color{red}\sqrt{3}}}2 \cdot \frac{2t+1}{\color{red}\sqrt 3}\right)^2 = \left(\frac{\sqrt 3}2\right)^2\left(\frac{2t+1}{\sqrt 3}\right)^2= \frac 34 \left(\frac{2t+1}{\sqrt 3}\right)^2 

jalsho 335
Postad: 19 nov 2025 20:32

Thanks

Svara
Close