1
svar
88
visningar
brytningsindex/utveckling av uttryck
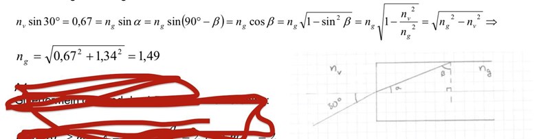
Hej! I ett lösningsförslag från en gammal tenta finns det ett samband som gör mig lite förvirrad. Jag är med på att man utgår ifrån brytningslagen osv och hänger med enda fram till trigonometriska ettan. Det jag inte riktigt är med på är hur blir

Jag gissar att uppgiften har nåt om att ljusstrålen bryts igen vid så att strålen går parallellt med glaset? Ställ upp snells lag för den brytningen och lös ut .