1
svar
68
visningar
Marcus N behöver inte mer hjälp
Brytningslagen för vågor


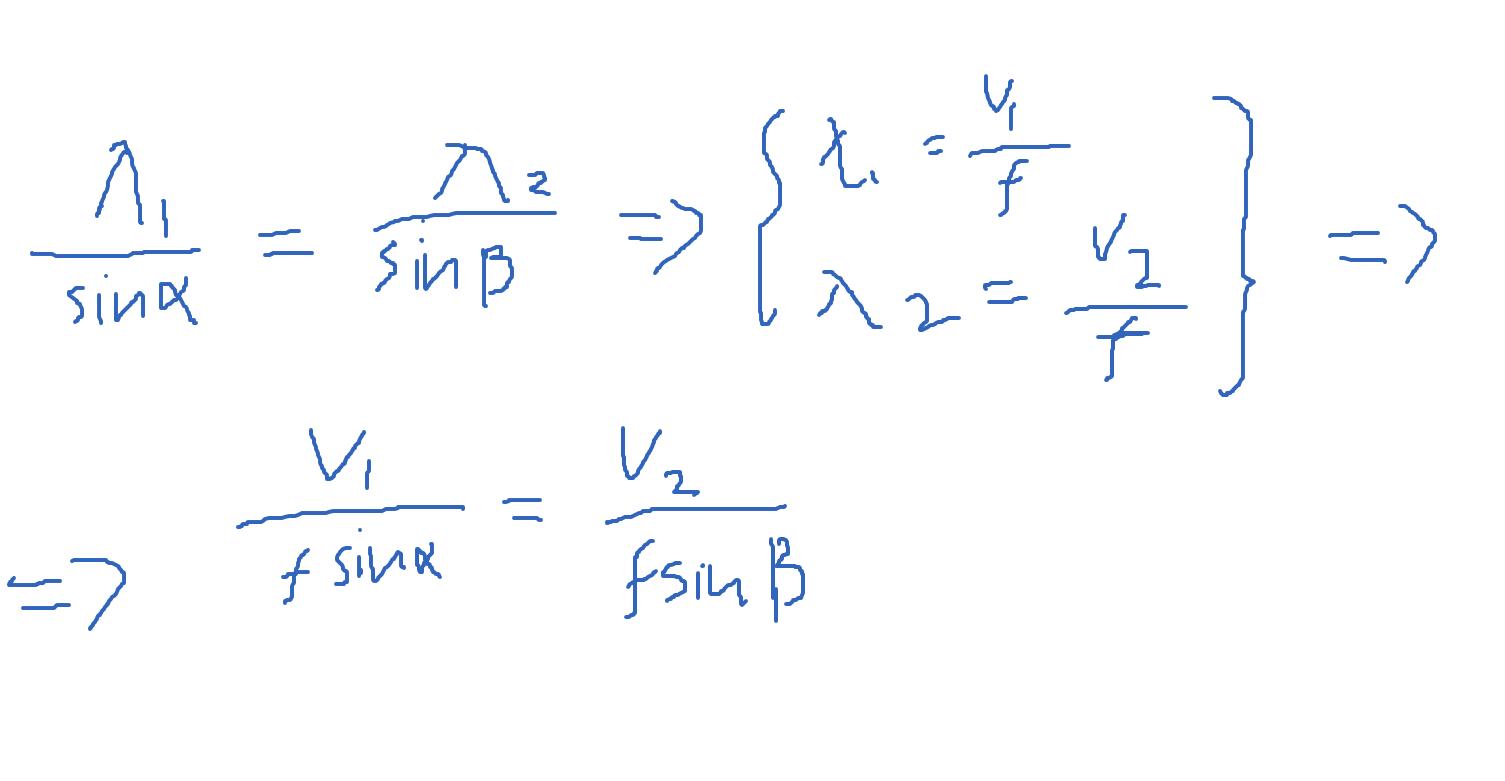
Borde inte det blir v1/fsina = v2/fsinb?
Hade han multiplicerat f (frekvensen) i båda sidor eller?
Då du har f i nämnaren i båda leden så kan f förkortas bort (multiplicera båda led med f).