2
svar
63
visningar
Micimacko behöver inte mer hjälp
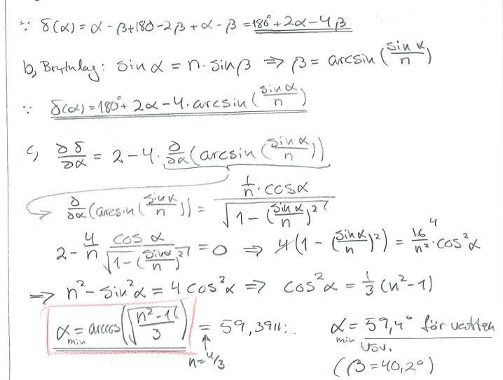
Brytningsvinkel
Jag har löst a och b, men vad vill de åt på c? Kan inte komma på varför man skulle vilja derivera.


Läste kanske lite som hastigast och endast c-frågan, men det står ju att det sker då har ett minimum för en vinkel . Hur brukar vi hitta minimum-punkter?
Jaha, kopplade inte att det var d som skulle minimeras när de skrev a_min 🙈 Tack!