1
svar
142
visningar
BVP med LaplaceTransform
Hej, sitter fast med _vad jag tror_ är uppdelningen mot slutet av begynnelsevärdesproblemet.
y' + 5y = sin2t y(0) = 0
LaplaceTransform;
sY(s) - y(0) + 5Y(s) =
Y(s) =
Partialbråksuppdelning; Y(s) =
2 = A(s^2+4) + (Bs+C)(s+5)
Låter s -> -5: 2 = A(25+4) => A = 2/29
S^2: 0 = A + B => B = -A = -2/29
S^0: 2 = 4A + 5C => C= 2-4A/5 = 10/29
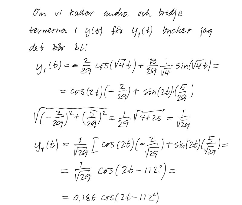
Vi har tillslut; ( Det är laplaceinversen av andra termen jag har problem med )
Y(s) = +
y(t) = 0.0069-0.0069Cos(4t)+0.34Sin(4t)
Facit ger; y(t) = 0.0069t + 0.186cos(2t - 118)
//
