C problemet fortsätter


Du skriver väldigt kortfattat. Ofta är det bra, men här skulle det behövas en förklaring till vad du gör.
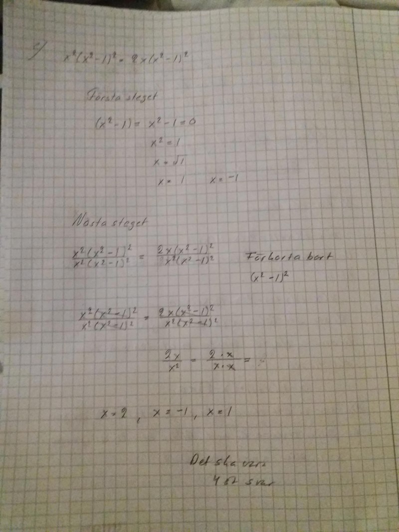
I första steget sätter du (x-1)^2 lika med noll och kommer fram till att x=1.
Det är helt rätt, men du bör förklara varför du sätter (x-1)^2 lika med noll.
Alla dina senaste trådar handlar om samma typ av problem: Två uttryck ska vara lika, och uttrycken ser ungefär likadana ut.
Formen, själva principen, blir något i stil med
A*B*C = A*B*D
Det vill säga vi har någon eller några faktorer som ingår i bägge leden (Här A och B)
Antingen är någon av dessa faktorer noll, eller så kan vi förkorta bort dem.
ANTINGEN är A eller B i mitt exempel lika med noll. Då blir hela ekvationen "noll är lika med noll"
ELLER så kan vi förkorta bort dem (det kan man ju göra med allt som inte är noll) och då behöver vi lösa ekvationen C=D, som nog är mycket enklare.
Det är konstigt att det inte har frågats tidigare på liknande uppgifter om några sådana här att det ska vara noll. Exakt liknande uppgifter. Jag förstår inte, varför det är nu så.
Nu ska man faktor uppdela det, så det är snett som jag har gjort.
Vad har du gjort, menar du? Det har du fortfarande inte förklarat.
Du ritar en pil och skriver "0 om ekvationen ska bli noll".
Exakt vad menar du ska bli noll? Jag frågar eftersom du strax efteråt räknar på en faktor (x^2-1) som finns i bägge leden OCH på en faktor x^2 som bara finns i vänsterledet.
Det är konstigt att du tycker att nollproduktmetoden är ny för dig. I alla matteböcker jag kan komma ihåg börjar man kapitlet om andragradsekvationer med att lösa uppgiften av typen och därefter uppgifter av typen och då förklarar man nollproduktmetoden - att om "nånting" gånger "nånting annat" är lika med noll, så måste antingen "nånting" eller "nånting annat" vara lika med 0. Sedan utvecklar men det vidare och kommer så småningom fram till kvadratkomplettering och därefter pq-formeln (och sedan brukar många glömma de där enklare fallen i början).
Antingen kan du fortsätta att strunta i de råd du får, eller så kan du göra som jag föreslog och förklara (för oss andra men mest för dig själv) varje steg, så kanske det klarnar.
Man ska inte skriva formeleditor, men det är svårt skriva så här och berätta, när man inte ser något.
?!
Päivi skrev :Man ska inte skriva formeleditor, men det är svårt skriva så här och berätta, när man inte ser något.
Det vi har försökt säga till dig är att du SKALL använda formeleditorn, men bara till själva formlerna.
Om jag vill skriva en formel så klickar jag igång formeleditorn, skriver in min formel - jag kan se hur den kommer att se ut - och när jag är färdig så klickar jag på knappen OK, så hamnar formeln där jag vill och jag kommer tillbaka och kan skriva med vanliga bokstäver. Om jag inte klickar på infoga efter formeln och nu när jag har tryckt på OK så får jag vanliga bokstäver igen.
Det här var ju hopplöst måste jag säga. Jag försökte skriva från dator. Titta uppåt. Det blir galet, när jag försöker.
Som jag skkrev förut GÅ UT UR FORMELEDITORN när du är färdig med varje formel!
Jag ska försöka skriva på nytt. Det tar lite tid nu. Gör nytt försök.
Ja, nu går det att begripa hur du tänker.
Vänsterledet skall vara lika med högerledet.
Vänsterledet måste inte vara lika med noll.
Sedan har du också gjort något konstigt med 2x och x^2 som jag inte förstår.
Hej
Nu söker jag verkligen hjälp med uppgiften. Det är något fel i den eller måste jag vänta till tisdag och ta lediga dagar från matte för att få hjälp med uppgiften.Kan någon hjälpa mig. Inga frågor får ställas. Jag kan inte svara
Hur kan de här bägge uttrycken vara lika? Jo, ett ganska enkelt sätt är att de helt enkelt är noll, både vänsterledet och högerledet.
En produkt blir noll om någon av faktorerna är noll.
Vänsterledet innehåller de olika faktorerna x och (x^2-1).
Högerledet innehåller de olika faktorerna 2, x och (x^2-1).
Om det är så att x är noll, vad står det då?
Då står det att noll gånger något är lika med noll gånger något annat. Det är ju sant.
Alltså vet vi att om x är noll, så gäller likheten.
Om det är så att (x^2 - 1) är noll, vad står det då?
Då står det att noll gånger något är lika med noll gånger något annat. Det är ju sant.
Alltså vet vi att om (x^2 - 1) är noll, så gäller likheten.
Annars, då?
Om (x^2 - 1) inte är noll, så kan vi dividera bort det:
En gång till, så får vi
Här kan vi dividera bort x. Vi sade ju "Annars, då?", så vi funderar fortfarande på hur det blir när varken x eller (x^2 - 1) är noll.
Om x varken är noll eller plusminus ett, så kan likheten gälla om x=2.
Lösningarna till ekvationen är x=0, x=1, x=-1, x=2.
Fråga om något är oklart.
Hej!
Subtrahera högerled i båda led (med andra ord flytta över högerled till vänster led)
Du får då:
--------------------------------------------------------------------------------
Bryt ut det du har i båda termer:
vi har ett x och ett i båda termer så vi bryter väl ut dom och ser vad som händer:
--------------------------------------------------------------------------------
Ok tänk att vi har ett uttryck:
A*B*C = 0 då kan antingen A = 0, B = 0, C = 0, eftersom:
0*B*C = 0, A*0*C = 0, A*B*0 = 0.
I detta fallet är A = x, B = (x^2-1)^2 och C = (x-2).
Så vi delar upp uttrycket i 3 ekvationer.
--------------------------------------------------------------------------------
Nu ska vi lösa respektive ekvation (dvs hitta x.) Vi tar dom enkla först:
ekv1:
ekv3:
--------------------------------------------------------------------------------
För ekv 2 utvecklar vi uttrycket först:
Hmm visst vore det bra ifall ekvationen kunde se ut som en andragradsekvation (då kan vi ju lösa den med PQ eller något sånt)?
Alltså det hade varit bra ifall det stod: .
Detta kan vi ju ordna genom att säga följande:
.
Då blir ekv 2 (som utvecklats):
Lös m.h.a av PQ eller något. Själv löser jag den genom följande sätt:
OBS vi sa ju att t=x^2. Då blir det:
Tar vi roten ur båda led fås:
--------------------------------------------------------------------------------
Vi har nu fått:
--------------------------------------------------------------------------------
Fråga om det är något du inte hängde med på eller ifall jag varit otydlig och/eller hoppat över steg du vill ha en förklaring till.
Det var en lång tråd Päivi!
Eftersom du frågat mig, så ska jag försöka mig på att lösa uppgiften.
Det mesta har du ju gjort korrekt.
Detta står både i V.L. och H.L. och det har du redan löst:
Denna har du också löst:
Denna har du dock inte hittat:
Bubo skrev :
Hur kan de här bägge uttrycken vara lika? Jo, ett ganska enkelt sätt är att de helt enkelt är noll, både vänsterledet och högerledet.
En produkt blir noll om någon av faktorerna är noll.
Vänsterledet innehåller de olika faktorerna x och (x^2-1).
Högerledet innehåller de olika faktorerna 2, x och (x^2-1).Om det är så att x är noll, vad står det då?
Då står det att noll gånger något är lika med noll gånger något annat. Det är ju sant.
Alltså vet vi att om x är noll, så gäller likheten.Om det är så att (x^2 - 1) är noll, vad står det då?
Då står det att noll gånger något är lika med noll gånger något annat. Det är ju sant.
Alltså vet vi att om (x^2 - 1) är noll, så gäller likheten.Annars, då?
Om (x^2 - 1) inte är noll, så kan vi dividera bort det:
En gång till, så får vi
Här kan vi dividera bort x. Vi sade ju "Annars, då?", så vi funderar fortfarande på hur det blir när varken x eller (x^2 - 1) är noll.
Om x varken är noll eller plusminus ett, så kan likheten gälla om x=2.
Lösningarna till ekvationen är x=0, x=1, x=-1, x=2.
Fråga om något är oklart.
Jag har förstått och just skrivit av det.
Affe Jkpg skrev :Det var en lång tråd Päivi!
Eftersom du frågat mig, så ska jag försöka mig på att lösa uppgiften.
Det mesta har du ju gjort korrekt.Detta står både i V.L. och H.L. och det har du redan löst:
Denna har du också löst:
Denna har du dock inte hittat:
Tack Affe för det här. Det var det sista som det var problem med.
sprite111 skrev :Hej!
Subtrahera högerled i båda led (med andra ord flytta över högerled till vänster led)
Du får då:
--------------------------------------------------------------------------------
Bryt ut det du har i båda termer:
vi har ett x och ett i båda termer så vi bryter väl ut dom och ser vad som händer:
--------------------------------------------------------------------------------
Ok tänk att vi har ett uttryck:
A*B*C = 0 då kan antingen A = 0, B = 0, C = 0, eftersom:
0*B*C = 0, A*0*C = 0, A*B*0 = 0.
I detta fallet är A = x, B = (x^2-1)^2 och C = (x-2).
Så vi delar upp uttrycket i 3 ekvationer.
--------------------------------------------------------------------------------
Nu ska vi lösa respektive ekvation (dvs hitta x.) Vi tar dom enkla först:
ekv1:
ekv3:
--------------------------------------------------------------------------------
För ekv 2 utvecklar vi uttrycket först:
Hmm visst vore det bra ifall ekvationen kunde se ut som en andragradsekvation (då kan vi ju lösa den med PQ eller något sånt)?
Alltså det hade varit bra ifall det stod: .
Detta kan vi ju ordna genom att säga följande:
.
Då blir ekv 2 (som utvecklats):
Lös m.h.a av PQ eller något. Själv löser jag den genom följande sätt:
OBS vi sa ju att t=x^2. Då blir det:
Tar vi roten ur båda led fås:
--------------------------------------------------------------------------------
Vi har nu fått:
--------------------------------------------------------------------------------
Fråga om det är något du inte hängde med på eller ifall jag varit otydlig och/eller hoppat över steg du vill ha en förklaring till.
Nu har jag skrivit av det här. Jag ska läsa vad du har skrivit. Åter kommer om det är oklarheter. Jag tackar dig så länge för det här. Tack att du hjälpte mig. Jag orkade inte ta allt med en gång. Jag glömmer ingen här. Du är völkommen att komma hjälpa mig med matten här framöver också.
Päivi skrev :Det här var ju hopplöst måste jag säga. Jag försökte skriva från dator. Titta uppåt. Det blir galet, när jag försöker.
Jag håller med om att formel-editorn inte alls erbjuder de möjligheter vi behöver, för att t.ex. blanda formler med text.
Det var besvärligt
Päivi skrev :Det var besvärligt
Klicka här för en kort beskrivning av hur du kan blanda formler från formeleditorn med vanlig text på ett bra sätt Päivi.
Yngve skrev :Päivi skrev :Det var besvärligt
Klicka här för en kort beskrivning av hur du kan blanda formler från formeleditorn med vanlig text på ett bra sätt Päivi.
När man gör ett inlägg som innehåller flera "formel-editeringar", kan man senare inte enkelt kopiera/redigera inlägget för att skapa ett nytt redigerat/utvidgat inlägg.



