Calculus 10th edition, integraler 6.2.9
Uppgiften:
Evaluate the integral
Min lösning på problemet:
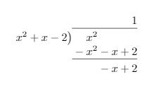
Utförde polynomdivision på vår initiala funktion i integralen.

Från de kan man skriva om integralen som:
Därefter så partialbråksuppdelar vi funktionen.
(*)
(**)
Jämför man funktionen i steg(**) med (*) så vill vi välja konstanter för och så att funktionerna stämmer överens.
Då får vi att:
Räknar man ut ovan så får man att
Vilket ger oss nedan:
Svaret på uppgiften blir då
Då till min fråga. I första steget efter polynomdivisionen. Då får man att
Ser inte vars de går att skriva om integralen av 1 - funktionen till x - integralen av funktionen. Finns det någon särskild räkneregel som de går efter som jag har missat?
Fick fram att man skulle skriva om så via facit då jag suttit fast på just de steget en bra stund. Därefter så kunde jag lösa ut resten, men känns som att de är rätt viktigt att förstå just varför de går att skriva om så när vi ska skriva tenta på detta.
Du har skrivit "dx" på fel ställe och då blir det nästan obegripligt. Att den primitiva funktionen till f(x) = 1 ärF(x) = x+C kommer du väl ihåg?
Ah, jo den där regeln kommer jag ihåg. I och med att uppgiften från början skrev dx i nämnaren så fortsatte jag att följa de genom uppgiften. Kan vara därför de körde ihop sig. Tackar!