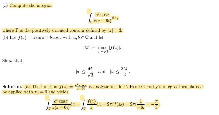
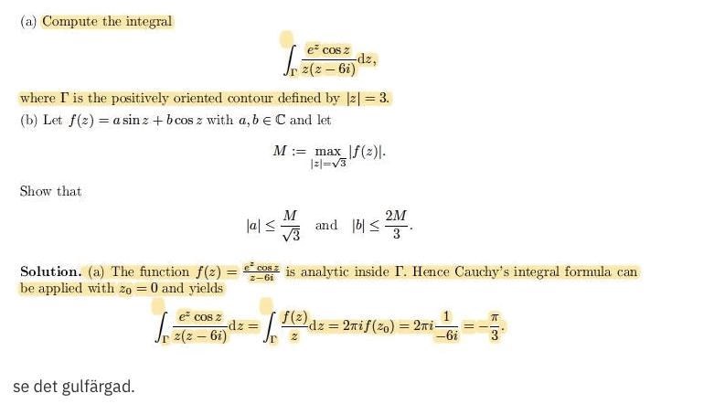
Cauchy

se det gulfärgad.
Vad hade man gjort om det inte var innanför cirkeln? vad tillämpar man med då?
Hondel skrev:
Men.. vänta. Har jag missuppfattat allt här?
Jag trodde att Cauchys integralsats var residysatsen! men asså nej?
Vad menar du med innanför cirkeln?
Micimacko skrev:Vad menar du med innanför cirkeln?
Jag menade analytic inside stora gamma då. (som facit skriver där)
så summa:- innanför stora gamma: använd cachy integralsats?
- utanför stora gamma: använd residual satsen?
Alltså va? Vad och varför skulle du räkna ut utanför området du är intresserad av och vet något om? De har skrivit innanför cirkeln för att resten är ointressant. Poängen är att där vi bryr oss är den analytisk, om det behövs till tex någon sats.
Förlåt, jag läste frågan lite för fort. Notera att din integrand inte är analytisk innanför stora gamma (z=0 ger problem). I facit utnyttjar man integralsatsen för att räkna ut din integral genom att ansätta f(z) som din integrand men utan faktorn 1/z (vilket gör att deras f är analytisk innanför stora gamma).
Du hade kunnat använda resudysatsen här också. Hade det vart fler punkter än 0 som vållat problem hade det nog varit närmast obligatorisk (men det var ett tag sedan jag läste kursen så kan ha glömt, eventuellt att det finns mer avancerade metoder).
Micimacko skrev:Alltså va? Vad och varför skulle du räkna ut utanför området du är intresserad av och vet något om? De har skrivit innanför cirkeln för att resten är ointressant. Poängen är att där vi bryr oss är den analytisk, om det behövs till tex någon sats.
Min fråga är vad är det för sats man kan använda OM det skulle vara utanför område, VAD kan man göra då? det har inget med uppg och göra, det var bara ett exempel.
Hondel skrev:Förlåt, jag läste frågan lite för fort. Notera att din integrand inte är analytisk innanför stora gamma (z=0 ger problem). I facit utnyttjar man integralsatsen för att räkna ut din integral genom att ansätta f(z) som din integrand men utan faktorn 1/z (vilket gör att deras f är analytisk innanför stora gamma).
Du hade kunnat använda resudysatsen här också. Hade det vart fler punkter än 0 som vållat problem hade det nog varit närmast obligatorisk (men det var ett tag sedan jag läste kursen så kan ha glömt, eventuellt att det finns mer avancerade metoder).
Min fråga är vad är det för sats man kan använda OM det skulle vara utanför område, VAD kan man göra då? det har inget med uppg och göra, det var bara ett exempel.
Vad är detta "det" som skulle hända utanför området? Du har en integral runt ett visst område, du kan inte integrera utanför ett område? I så fall integrerar du innanför ett helt annat område.
Okej. Då är jag förvirrad. Vad är utanför området? Att integranden inte är analytisk utanför området? Det spelar ingen roll. I exemplet är ju inte varken integranden eller deras ansatta f analytisk utanför stora gamma.
Micimacko skrev:Vad är detta "det" som skulle hända utanför området? Du har en integral runt ett visst område, du kan inte integrera utanför ett område? I så fall integrerar du innanför ett helt annat område.
mycket sant, tänkte om man kunde göra något annat coolt men aja ^^