2
svar
126
visningar
heymel behöver inte mer hjälp
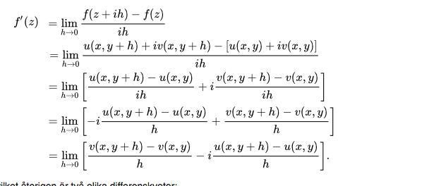
Cauchy reimann beviset.

Hänger inte med på tredje steget. Där de lilla -i kommer hos u:en (realdelen)
De multiplicerar både täljare och nämnare i det vänstra bråket med .
AlvinB skrev:De multiplicerar både täljare och nämnare i det vänstra bråket med .
aah juste för visste att det var ngt med multiplikation å så, men förstod ej bara hur den kunde försvinna, men nu vet jag :) TacK!