Cauchys integral formel

nu ska jag försöka göra detta mha enbart satsen som jag memorerat.
Sats: låt funktionen vara analytisk, dvs att det finns ett av klass i en öppen mängd då är det en Cauchy Reimann funktion. Och för Cauchys integralformel så gäller:

Så då vår funktion: 
är analytisk då inte är 1, och löser den andra med PQ formeln (btw vad gör jag för fel i den, jag gör : ) alltså är den analytisk när inte är där..
och så ska jag då beräkna det där, jag antar att mitt motsvarar hela:

och så ska jag använda sats-formeln:
är bara , och mitt ? right? Mitt är cirkeln med radie 2? alltså ?
och sedan bara beräkna.. Men... vad är det jag gör för fel? eller missar?
Om man vänder lite grann på Cauchys integralformel får man:
Om man kan beräkna är det alltså en ganska enkel sak att bestämma integralen i vänsterled.
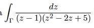
Låt oss ta ett exempel. Säg att vi vill beräkna följande integral (där kurvan är densamma som i uppgiften):
Om vi sätter och inser vi att detta blir en likadan integral som vi kunde beräkna ovan med Cauchys integralformel:
Om vi alltså kunde dela upp vår integral så att vi fick flera småintegraler på formen
är det inte så svårt att beräkna integralen. Tror du att du klarar det?
(Om du fastnar har Wikipedia ett bra exempel)
AlvinB skrev:Om man vänder lite grann på Cauchys integralformel får man:
Om man kan beräkna är det alltså en ganska enkel sak att bestämma integralen i vänsterled.
Låt oss ta ett exempel. Säg att vi vill beräkna följande integral (där kurvan är densamma som i uppgiften):
Om vi sätter och inser vi att detta blir en likadan integral som vi kunde beräkna ovan med Cauchys integralformel:
Om vi alltså kunde dela upp vår integral så att vi fick flera småintegraler på formen
är det inte så svårt att beräkna integralen. Tror du att du klarar det?
(Om du fastnar har Wikipedia ett bra exempel)

så min bilr: ?
eftersom mina är och ?
heymel skrev:AlvinB skrev:Om man vänder lite grann på Cauchys integralformel får man:
Om man kan beräkna är det alltså en ganska enkel sak att bestämma integralen i vänsterled.
Låt oss ta ett exempel. Säg att vi vill beräkna följande integral (där kurvan är densamma som i uppgiften):
Om vi sätter och inser vi att detta blir en likadan integral som vi kunde beräkna ovan med Cauchys integralformel:
Om vi alltså kunde dela upp vår integral så att vi fick flera småintegraler på formen
är det inte så svårt att beräkna integralen. Tror du att du klarar det?
(Om du fastnar har Wikipedia ett bra exempel)
så min bilr: ?
eftersom mina är och ?
Nja. Inte riktigt. Vi måste först dela upp integralen i småintegraler på formen:
Med hjälp av partialbråksuppdelning kan integralen som vi vill beräkna skrivas:
Detta kan man sedan dela upp i tre separata integraler:
Var och en av dessa integraler kan beräknas med Cauchys integralformel.
AlvinB skrev:heymel skrev:AlvinB skrev:Om man vänder lite grann på Cauchys integralformel får man:
Om man kan beräkna är det alltså en ganska enkel sak att bestämma integralen i vänsterled.
Låt oss ta ett exempel. Säg att vi vill beräkna följande integral (där kurvan är densamma som i uppgiften):
Om vi sätter och inser vi att detta blir en likadan integral som vi kunde beräkna ovan med Cauchys integralformel:
Om vi alltså kunde dela upp vår integral så att vi fick flera småintegraler på formen
är det inte så svårt att beräkna integralen. Tror du att du klarar det?
(Om du fastnar har Wikipedia ett bra exempel)
så min bilr: ?
eftersom mina är och ?
Nja. Inte riktigt. Vi måste först dela upp integralen i småintegraler på formen:
Med hjälp av partialbråksuppdelning kan integralen som vi vill beräkna skrivas:
Detta kan man sedan dela upp i tre separata integraler:
Var och en av dessa integraler kan beräknas med Cauchys integralformel.
Oookej, en snabb fråga om partialbråksuppdelning. Det är A, B och C pga vi har tre rötter right?
A har
B har
C har
?
och våra övregrnser till alla tre integraler är -2 och 2?
Ja, vi delar upp nämnaren i tre olika bråk eftersom den har tre olika nollställen (och därmed kan nämnaren faktoriseras enligt faktorsatsen).
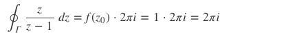
Gränser behöver du inte bry dig om. På samma sätt som jag visade med integralen
kan man beräkna var och en av de integraler man får efter partialbråksuppdelningen, utan att behöva integrera. Det är därför Cauchys integralformel är så användbar.
AlvinB skrev:Ja, vi delar upp nämnaren i tre olika bråk eftersom den har tre olika nollställen (och därmed kan nämnaren faktoriseras enligt faktorsatsen).
Gränser behöver du inte bry dig om. På samma sätt som jag visade med integralen
kan man beräkna var och en av de integraler man får efter partialbråksuppdelningen, utan att behöva integrera. Det är därför Cauchys integralformel är så användbar.
ja ja ja :)) ... så då kommer mitt svar att bli:
2pi * 1 + 2pi(1+2i) + 2pi(1-2i)
?
Nej, det är tyvärr fel. Visa hur du räknar så är det lättare att se vad som blir fel. Vad får du för värden på , och ?
AlvinB skrev:
Nej, det är tyvärr fel. Visa hur du räknar så är det lättare att se vad som blir fel. Vad får du för värden på , och ?

jag tänkte jag bara gjorde såhär. men adderade även de integralerna; B och C?
Fast det där var ju bara ett exempel. I integralerna efter partialbråksuppdelningen har du inte i täljaren, utan en konstant.
Gör nu partialbråksuppdelningen ordentligt och säg vad du får för värden på , och .
Sedan märkte jag även en sak nu, och det är att två av nollställena ligger utanför mängden som definieras av kurvan (de ligger alltså inte i cirkeln ). Detta betyder att man inte kan använda Cauchys integralformel på dessa två integraler eftersom punkterna inte ligger inuti kurvan. Däremot är funktionerna analytiska på hela området som innesluts av kurvan, och därmed går det att tillämpa Cauchys integralsats (viktig skillnad på Cauchys integralformel och integralsats!):
https://sv.wikipedia.org/wiki/Cauchys_integralsats
(Nu ursäktar jag för att det blev lite rörigt, men om du får ordning på partialbråksuppdelningen kan vi gå igenom det steg för steg)
AlvinB skrev:Fast det där var ju bara ett exempel. I integralerna efter partialbråksuppdelningen har du inte i täljaren, utan en konstant.
Gör nu partialbråksuppdelningen ordentligt och säg vad du får för värden på , och .
Sedan märkte jag även en sak nu, och det är att två av nollställena ligger utanför mängden som definieras av kurvan (de ligger alltså inte i cirkeln ). Detta betyder att man inte kan använda Cauchys integralformel på dessa två integraler eftersom punkterna inte ligger inuti kurvan. Däremot är funktionerna analytiska på hela området som innesluts av kurvan, och därmed går det att tillämpa Cauchys integralsats (viktig skillnad på Cauchys integralformel och integralsats!):
https://sv.wikipedia.org/wiki/Cauchys_integralsats
(Nu ursäktar jag för att det blev lite rörigt, men om du får ordning på partialbråksuppdelningen kan vi gå igenom det steg för steg)
Ska jag göra en ny tråd för partialbråket? eller kan jag skriva det här
Det är ju del av samma fråga, så skriv det här.
Vad jag menar med partialbråksuppdelning är att bestämma konstanterna , och i: