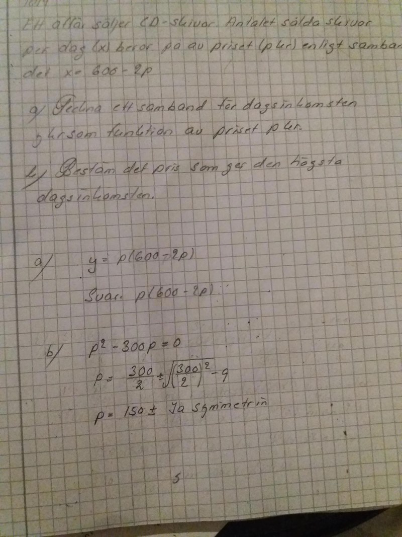
Cd skivor

Du har en andragradsfunktion.
Maximera med kvadratkomplettering eller derivata.
b) Det går att testa sig fram, men det tar väldigt lång tid. En bättre metod är att derivera funktionen och sätta derivatan lika med noll.
Hej!
Så långt har jag inte kommit med derivata att jag kan ens om deriverings regler ännu. Jag har sysslat med tangentens lutning och sekantens lutning och har sysslat med numerisk derivering. Detta är allt vad jag kan om derivata hittills. Kvadratkomplettering är jag dålig på, men pq formeln kan jag.
Då kan du använda PQ-formeln. Andragradsfunktioner är symmetriska kring en symmetriaxel. Den ges av -p/2 i PQ-formeln.
Nu förstår jag inte riktigt hur du har gjort efter att du dividerat alla termer med två. Du får rätt svar, men jag tror att du hoppat över några steg i uträkningen. Vi har att:
(Vi behöver dock endast -p/2-termen)
Nu förstår jag det hela.
Bra! Som sagt, jag tror att du var inne på helt rätt spår, bara att du hoppat över något steg i din redovisning. :)
Jag hade svårt veta, hur jag ska skriva det där.
Där satte problemet. Sedan begrep jag helt plötsligt varför mitt minus tecknet också försvann.
Okej, då förstår jag. Bra gjort, Päivi!
Jag tackar dig Smutstvätt för den här hjälpen.
När jag skriver från telefonen kan svenskan bli huller om buller ibland. Det är besvärligt skriva från telefonen måste jag säga.
Inga problem!
Det är ett gissel att skriva på mobilen. Är du också med i "vi som har tjocka tummar"-klubben? ;)
Finns det sådan klubb också? Det visste jag inte. Tjocka tummar har vi allihopa här. Huvudsaken är att man förstår något i alla fall vad man skriver. Den här klubben har vi tjocka tummar eller menar du någon annan speciell klubb utanför det här?
Klubben finns nog inte på riktigt. Men ibland skriver jag det på skoj när jag skrivit fel.
Jag förstår.
Ett annat sätt att hitta symmetrilinjen är att utgå från nollställena till y = p(600 - 2p). Om y ska vara lika med 0 så måste antingen p = 0 eller 600 - 2p = 0, dvs p = 300.
Nollställena är alltså p = 0 och p = 300.
Symmetrilinjen ligger mitt emellan dessa nollställen, dvs vid p = 150.
Det tänkte också på, Yngve. Det är bra Yngve att du tar upp det här.

