Centrala gränsvärdessatsen
Hej, är osäker på om jag tänker rätt. Blir ruten ur ett negativt tal. Tacksam för all hjälp 🙂


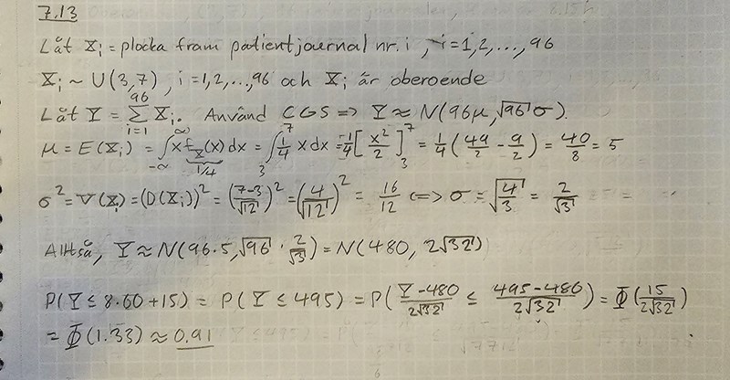
Väntevärdet för Xi borde väl bli (3+7)/2 osv
Fel.
Arktos skrev:Väntevärdet för Xi borde väl bli (3+7)/2 osv
Varför blir det så? Och inte u = E(X) = integral? Tar du medelvärde?
Jag tog täthetfunktionen istället för väntevärde. Ursäkta.
Täthetsfunktionen är 1/(7 – 3) över intervallet 3 ≤ x ≤ 7 och 0 f. ö.
Rita, så SER du det.
Arktos skrev:Täthetsfunktionen är 1/(7 – 3) över intervallet 3 ≤ x ≤ 7 och 0 f. ö.
Rita, så SER du det.
Tack, så jag tog den långa vägen kan man säga? Men får endå fel nu. 
Då har du räknat fel på V(X)
Fick rätt tillslut 🙂 Tack för hjälp. Insåg inte att man kan använda väntevärde och standardavvikelse så. Trodde man behövde göra integraler osv. 
Har du formlerna behöver du inte härleda dem.
Annars måste du integrera fram dem.
Och 73 = 49 · 7 = 7 · (50 – 1) = 350 –7 = 343.
Du skrev 243, eller är det en slarvig sjua som ser ut som en tvåa? #6
Arktos skrev:Har du formlerna behöver du inte härleda dem.
Annars måste du integrera fram dem.Och 73 = 49 · 7 = 7 · (50 – 1) = 350 –7 = 343.
Du skrev 243, eller är det en slarvig sjua som ser ut som en tvåa?
Det är slarvfel. Fick rätt nu när du påpekade. Tack 🙂
Slarvfel? Sånt händer.
Oupptäckta slarvfel = Dålig slutkontroll, tycker jag.
Och varje upptäckt slarvfel ger anledning att förbättra slutkontrollen.
Var glad för denna upptäckt! :-)