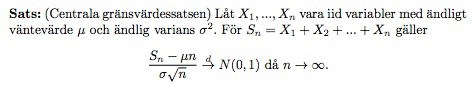
Centrala gränsvärdessatsen
Hej, Jag skulle behöva hjälp med att förstå lösningen till den frågan nedan:
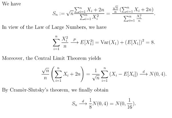
Jag är med på vad de gör de första två stegen men det jag inte är med på är hur de applicerar den centrala gränsvärdessatsen och kommer fram till att den konvergerar mot ?

Det jag också reagerade på är hur de kan applicera den centrala gränsvärdessatsen när de inte heller dividerar med ? Bifogar vad den centrala gränsvärdessatsen säger nedan:

Hur kommer de alltså fram till slutsatsen att ?
Om du förlänger med sqrt(V[X]/V[X]) så får du den form du är ute efter, multiplicerat med standardavvikelsen sqrt(V[X]). Så du får alltså enligt centrala gränsvärdessatsen sqrt(V[X]) multiplicerat med en normalfördelad variabel med medel 0 och varians 1, vilket resulterar i en normalfördelad variabel med medel 0 och varians V[X]=4
Hondel skrev:Om du förlänger med sqrt(V[X]/V[X]) så får du den form du är ute efter, multiplicerat med standardavvikelsen sqrt(V[X]). Så du får alltså enligt centrala gränsvärdessatsen sqrt(V[X]) multiplicerat med en normalfördelad variabel med medel 0 och varians 1, vilket resulterar i en normalfördelad variabel med medel 0 och varians V[X]=4
Tusen tack, då förstår jag!