Centrala Gränsvärdessatsen i enkel statistikfråga
Försöker tolka facit till ovanstående fråga. Fastnar på steget de beräknar variansen (för att vi behöver ju sigma i kvadrat i CGS alltså måste vi ju finna variansen).
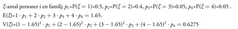
Facit lyder:

är den formeln jag känner till för varians:
Hur relaterar den till facit egentligen? Förstår ju (1-1.65)^2 eftersom det är 1-E(X) kvadrerat. Men varför multiplicerar man med respektive sannolikhet på varje! Antar att det har något att göra med att det E av ((1-E(X)) kvadrat) Men hur blir det respektive sannolikhet för p1, p2, p3, p4 osv!
Tack på förhand!
Såhär hade jag räknat ut det.
Det de gör i facit är att de först räknar ut (x-E(x))^2, som du såg, sen tog de väntevärdet av det. Väntevärde är alltid din siffra gånger sannolikheten att du får den siffran. Så de har gjort som i första uträkningen igen fast bytt ut x mot (x-E(x))^2. Onödigt jobbigt sätt att räkna tycker jag..
Ey! Tack för du tog dig tiden att skriva ner det på ett papper!
Är med på E(x)^2 = 1.65^2
Fattar dock inte varför man tar E(x^2) som k^2 * sannolikheten, varför är det t.ex inte k^2 * sannolikheten^2?
Vet inte om jag har ngn bra förklaring på varför 🙈 Jag vet att om man har en funktion av en slumpvariabel så är det samma sak som funktionen gånger variabeln. Tror bara att det är en definition man hittat på.
Så sannolikheten är "variablen" och k är någon slags konstant? typ?
X är ju siffrorna du kan få. Nu råkade din tabell gå från 1-4 pers men kunde varit helt andra siffror. Det är den som brukar kallas slumpvariabel, fast egentligen ska det vara en funktion. (Jag är helt klart fel person att fråga om det här egentligen, ngn får gärna förtydliga 🙈) Sannolikheten är ju också en funktion, fast här råkade det bara vara 4 ”linjer”. Och då finns ngn regel som säger att man gör så 😂
Boken kanske beskriver bättre, g eller Y är alltså x^2 i ditt fall. 
Det finns ju olika många familjer med olika familjestorlek! Det är väl skönt att man inte behöver addera ihop 1250 termer av typen (hälften av familjerna är ju enpersonshushåll) och så vidare.
Ngn får gärna säga hur man löser resten av uppgiften sen. Väntevärdet ska gångras med 1500 förstår jag, men ska variansen det också? Är den uträknad för en familj nu?