Centralrörelse
Hej!
Bifogar bild på uppgiften och min lösning. Jag har försökt att hitta var jag gör fel, men hittar ej.



Den centripetala accelerationen är .
Uppgiften vill nog att man antar att havsörnen har en roll angle i kurvor som är parallel med kraften men jag vet inte om fåglar egentligen flyger på det sättet. Det är kanske inte på samma sätt som när man cyklar...
Hmm vi har inte gått igenom när centripetala accelerationen beräknas med formeln du skrev - hur kan jag se det?
Och vad innebär en roll angle?
Det är i princip samma uttryck för centripetalkraft som du använder, men något gick fel där. Jag tror att du glömde kvadratet i .
Flygplan har roll, pitch och yaw vinklar kring olika axlar, men det är stela kroppar. Det är inte självklart för mig att fåglar flyger på samma sätt som fixed-wing aircraft. Men i så fall är vinkeln i figuren roll angle eller bank angle.
Tack!
Ändrade till T^2 och har fått rätt F, men vinkeln är fortfarande fel. Vår lärare har inte nämnt något om vinklarna som du beskrev, kan det vara något annat?
Du bör nog rita accelerationsvektorerna: 1,85 m/s2 åt sidan och 9,8 m/s2 nedåt.
Och bestämma resultantens vinkel mot vertikalen.
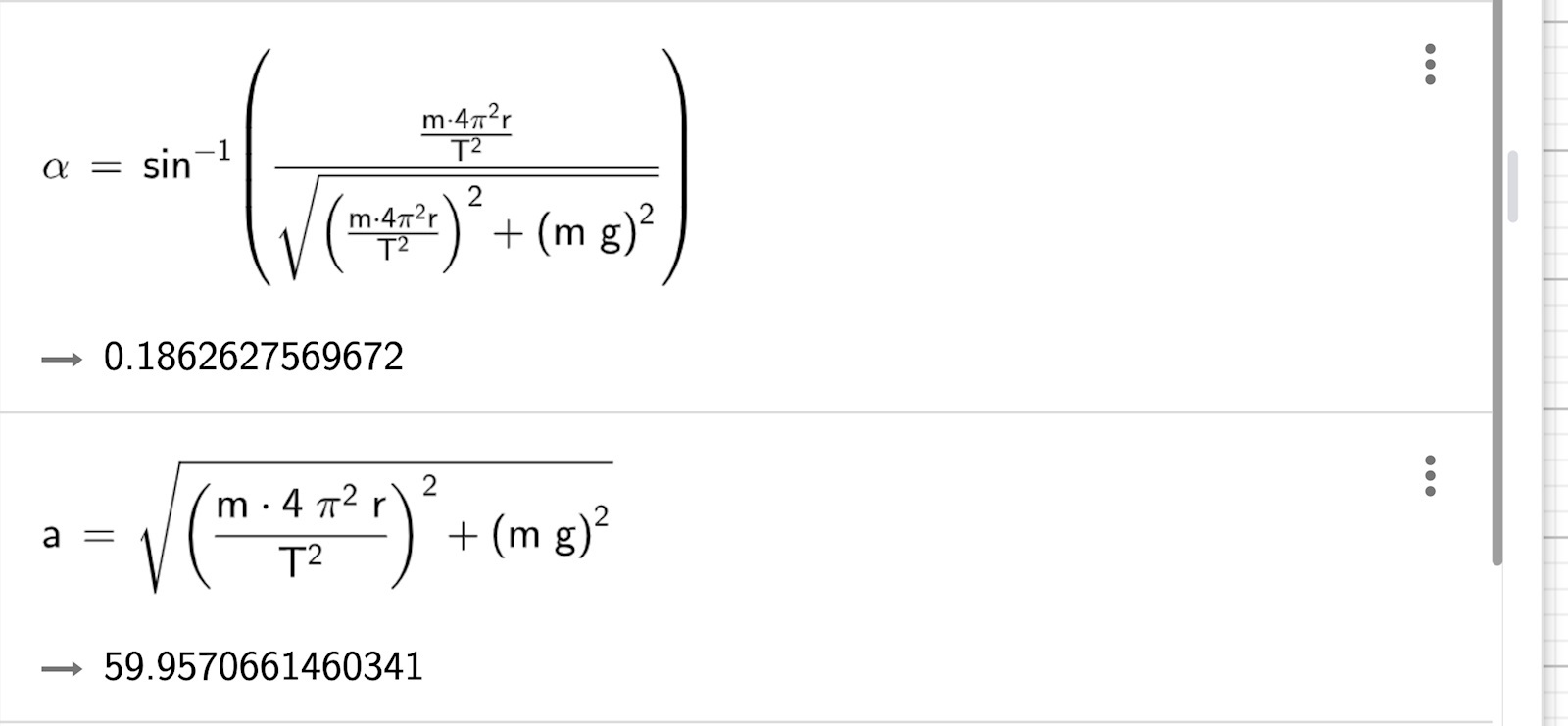
Du får nog 0,186 radian...
Pieter Kuiper skrev:Du bör nog rita accelerationsvektorerna: 1,85 m/s2 åt sidan och 9,8 m/s2 nedåt.
Varifrån får du 1,85 m/s^2?
Och bestämma resultantens vinkel.
Du får nog 0,186 radian...Ja! Om jag omvandlar det till grader stämmer det med facit, tack!!
Majskornet skrev:
Varifrån får du 1,85 m/s^2?
Den centripetala accelerationen är
Aha, då förstår jag :)