Centrifuge city
Hej!
Är det möjligt att skapa en atmosfär som på jorden i en i en "centrifuge city" inne i en kupol på mars? Om man tänker att man först bygger en kupol med en "centrifuge city" runt sydpolen på mars för att därefter smälta isen (som innehåller både vatten och koldioxid).
Vad skulle hända om man då i mitten av kupolen placerade en massa blågröna alger som i sin fotosyntes bildar syre (med hjälp av vattnet och koldioxiden från polen)? Skulle luften påverkas så mycket av centrifugalkraften att det skulle samlas längs kupolens väggar?
Då tyngdkraften som genereras från centrifugen är beroende på hur långt från centrum man är. Ju närmare centrum, desto mindre är den simulerade tyngdkraften, och i mitten är det ingen. Med hjälp av en centrifug borde man alltså kunna skapa gravitationen som vi har på jorden.
Och hur kan man få trycket bli ungefär detsamma?
Mvh KriAno
Har du någon länk/bild som visar hur du menar?
Rent principiellt så kan man utnyttja blågröna alger för att producera syrgas från vatten och koldioxid. Då får man även ut socker som man skulle kunna omvandla till andra organiska föreningar (mat, bränslen, byggmaterial osv.)
Det stora problemet är att lyckas bibehålla ett högt tryck. Om trycket blir för lågt kommer vätskor som vatten att förångas och sedan frysa till is. Om staden är öppen mot atmosfären kan solvinden blåsa bort syrgasen som produceras.
Teraeagle skrev:Har du någon länk/bild som visar hur du menar?
Rent principiellt så kan man utnyttja blågröna alger för att producera syrgas från vatten och koldioxid. Då får man även ut socker som man skulle kunna omvandla till andra organiska föreningar (mat, bränslen, byggmaterial osv.)
Det stora problemet är att lyckas bibehålla ett högt tryck. Om trycket blir för lågt kommer vätskor som vatten att förångas och sedan frysa till is. Om staden är öppen mot atmosfären kan solvinden blåsa bort syrgasen som produceras.
Tänker typ såhär:

som skydd mot solvindar tänker jag att man kan använda en satellit som kan generera ett kraftfullt magnetfält - så det problemet är i princip löst.
Men om kupolen är lufttät, och det finns mycket gaser borde väl det kunna ge tillräckligt med tryck? Jag är bara ute efter att få en atmosfär i kupolen. Om koldioxid halten blir för hög, kan man reglera den?
Okej, då förstår jag hur du menar. På bilden har du ritat in att personen står på väggen, men man kommer ju fortfarande att utsättas för Mars gravitation (riktad nedåt), så man kommer att trilla ner från väggen. Hur tänker du att man ska komma runt det problemet? Den där typen av lösning hade kunnat fungera i rymden där man är tyngdlös, men det blir problematiskt på en planetyta.
Sen har du några praktiska problem:
- Hur tar man sig ut och in ur kupolen om den roterar? Har du räknat ut ungefär hur snabbt kupolen behöver rotera för att man ska utsättas för en centrifugalkraft som motsvarar jordens tyngdkraft?
- Kupolen är väldigt stor. Hur ska du kunna rotera den? Hur mycket energi krävs till detta?
- Mars har en mycket tunn atmosfär vilket gör att meteorer är mer långlivade och riskerar att överleva inträdet och krascha in i kupolen. Kan kupolen stå emot detta? Du kan räkna ut ungefär hur stor kraft den utsätts för om den träffas och jämföra med ifall det finns något material som klarar att utsättas för det.
Men om kupolen är lufttät, och det finns mycket gaser borde väl det kunna ge tillräckligt med tryck? Jag är bara ute efter att få en atmosfär i kupolen. Om koldioxid halten blir för hög, kan man reglera den?
Ja det kan man. Det enklaste vore nog att smälta kolsyreis som det finns gott om på Mars så att det bildas koldioxid i gasfas. Sedan kan man ha någon form av bioreaktor med t.ex. blågröna alger för att omvandla en del koldioxid till syrgas. Man kan tänka sig att det finns något nödsystem där man startar en kemisk reaktion med koldioxid som snabbt tar bort koldioxid från luften ifall halten blir för hög. På rymdskepp är det vanligt att man använder litiumhydroxid för detta ändamål. Det reagerar med koldioxid och omvandlas till litiumkarbonat (och vatten). Du kan räkna ut ungefär hur mycket litiumhydroxid som behövs för att ta bort en viss mängd koldioxid.
Teraeagle skrev:
- Kupolen är väldigt stor. Hur ska du kunna rotera den? Hur mycket energi krävs till detta?
Jag ska försöka lösa de andra problemen, men på den här har jag ingen aning om hur jag ska gå till väga. Har du något förslag?
Effekten som krävs ges av vridmomentet multiplicerat med vinkelhastigheten :
Problemet är att momentet inte är lika stort under hela rotationen. När man ska starta rotationen hos kupolen krävs en större acceleration, vilket kräver en större kraft och därmed ett större moment (vilket innebär en högre effektförbrukning). När kupolen sedan roterar behöver den bara överkomma friktionskrafterna, vilket inte kräver ett lika stort moment och därmed en lägre effektförbrukning. Vi vet inte hur stora friktionsförlusterna är i det här fallet.
Det första du måste bestämma är hur lång tid det ska ta för kupolen att komma igång till full rotation. Du kan då räkna ut hur stor vinkelaccelerationen ska vara. Exempel: Från stillastående till en vinkelhastighet på 2 varv/min (=4 rad/min) på 4 minuter ger vinkelaccelerationen rad/min2.
När du har räknat ut en lämplig vinkelacceleration kan du beräkna momentet som krävs för att starta en sådan rotation med hjälp av följande formel:
där står för tröghetsmomentet hos den cylindriska delen av staden under jord och kupolen ovanför jord (som vi kan anta är en halv sfär).
Om du sätter in radien () och vinkelaccelerationen, samt vikten hos kupolen och väggarna hos cylindern (dvs ”ringen” som ligger under jord) kan du räkna ut hur stort moment som krävs för att starta rotationen. Sedan sätter du in detta i den första formeln för att bestämma hur stor effekt som krävs när konstruktionen ska börja vridas från stillastående.
Nu kanske detta blev lite överkurs, men själva beräkningarna är inte så svåra nu när du har fått hjälp med formlerna. Jag har även försummat vikten hos ”ekrarna”, men om du vill lägga till dem i ekvationen så kan jag visa hur man gör det.
Teraeagle skrev:Okej, då förstår jag hur du menar. På bilden har du ritat in att personen står på väggen, men man kommer ju fortfarande att utsättas för Mars gravitation (riktad nedåt), så man kommer att trilla ner från väggen. Hur tänker du att man ska komma runt det problemet? Den där typen av lösning hade kunnat fungera i rymden där man är tyngdlös, men det blir problematiskt på en planetyta.
Hmm... det här var klurigt, men är det inte möjligt att vinkla golvet i "ringen" så att man inte direkt påverkas av Mars gravitation? Eller kan man öka rotationshastigheten tillräckligt så att krafterna tar ut varandra?
Om man har en konstruktion enligt din ritning så verkar centrifugalkraften i radiens riktning, men Mars tyngdkraft verkar i riktning ned mot planeten. Oavsett hur snabbt du snurrar har du alltså en kraft i y-led som du inte kan motverka genom att snurra snabbare.
Men vad händer om du lutar golvet (dvs väggarna)?
Teraeagle skrev:Om man har en konstruktion enligt din ritning så verkar centrifugalkraften i radiens riktning, men Mars tyngdkraft verkar i riktning ned mot planeten. Oavsett hur snabbt du snurrar har du alltså en kraft i y-led som du inte kan motverka genom att snurra snabbare.
Men vad händer om du lutar golvet (dvs väggarna)?
Okej, men då kanske det blir typ såhär:

Men hur blir det med centrifugalkraften och centripetalkraften?
Mycket riktigt! Om du lägger ihop krafterna så kommer kraftresultanten att motsvara centripetalkraften (krafterna tar alltså inte ut varandra, vilket du verkar ha ritat ut). Det är den nettokraft man kommer att utsättas för och där centripetalaccelerationen behöver vara lika stor som jordens tyngdacceleration.
Du har redan definierat diametern på kupolen så du kan räkna ut radien. Eftersom jordens tyngdacceleration är känd kan du också räkna ut hur stor hastigheten behöver vara.
Vad ska själva konstruktionen vara gjord av? Betong? Om man står med gummisulor på underlaget så verkar friktionskoefficienten vara ca 0,8 (gummi-betong) efter en snabb googling.
Sen en snabb fråga: Är detta en skoluppgift eller något du räknar på utav eget intresse?
Edit: Ser att du ändrade bilden. Den första bilden var rätt!
Teraeagle skrev:Mycket riktigt! Om du lägger ihop krafterna så kommer kraftresultanten att motsvara centripetalkraften (krafterna tar alltså inte ut varandra, vilket du verkar ha ritat ut). Det är den nettokraft man kommer att utsättas för och där centripetalaccelerationen behöver vara lika stor som jordens tyngdacceleration.
Okej, så kraftresultanten för alla tre krafterna är alltså centripetalkraften? Men jag förstår tyvärr inte riktigt vad som händer med centrifugalkraften? Och hur vet man hur mycket "golvet" ska luta?
(Det ett skolarbete, men jag tycker att det är väldigt intressant också :) )
Centrifugalkraften är en fiktiv kraft, den existerar alltså inte. Det som kallas för centrifugalkraft är resultatet av att massa har tröghet, dvs inte vill ändra sin rörelse. I en centrifug så vill ett objekt fortsätta rakt fram, men eftersom centrifugens vägg då är i vägen så kommer objektet att tryckas in mot väggen. Då kommer väggen (enligt Newtons tredje lag) att trycka mot objektet med en lika stor kraft. Det är denna kraft som utgör centripetalkraften och får objektet att gå i en centralrörelse.
Centrifugalkraften uppstår som en illusion när man själv färdas in i väggen och känner av att väggen trycker emot.
Teraeagle skrev:Mycket riktigt! Om du lägger ihop krafterna så kommer kraftresultanten att motsvara centripetalkraften (krafterna tar alltså inte ut varandra, vilket du verkar ha ritat ut). Det är den nettokraft man kommer att utsättas för och där centripetalaccelerationen behöver vara lika stor som jordens tyngdacceleration.
Du har redan definierat diametern på kupolen så du kan räkna ut radien. Eftersom jordens tyngdacceleration är känd kan du också räkna ut hur stor hastigheten behöver vara.
Vad ska själva konstruktionen vara gjord av? Betong? Om man står med gummisulor på underlaget så verkar friktionskoefficienten vara ca 0,8 (gummi-betong) efter en snabb googling.
Sen en snabb fråga: Är detta en skoluppgift eller något du räknar på utav eget intresse?
Edit: Ser att du ändrade bilden. Den första bilden var rätt!
borde väl vara: , där Mars gravitation är 3.711 m/s^2 och om man antar att en person väger 60 kg.
Men för att kunna räkna ut resterande krafter behöver jag väl veta vinkeln mellan och ?
Eller om man kan tänka ut något rimligt värde för "väggens" längd, och sedan räkna med sinus för att få fram en vinkel...
Men hur vet man hur mycket lutning "golvet/väggen" ska ha för att detta ska fungera?
- Börja med att bestämma storleken hos centripetalkraften.
- Krafterna i y-led ska ta ut varandra.
- Krafterna i x-led ska motsvara centripetalkraften.
Du kan bestämma vinkeln genom att teckna ekvationer som beskriver de två sista punkterna.
Visa ledtråd
du vet även att
Teraeagle skrev:du vet även att
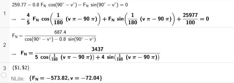
Okej tack! Förstår dock inte varför du multiplicerar med med sin/cos (90-v) ? (Hade varit jättesnällt om du kunde förklara)
Har jag placerat ut vinkeln rätt?

Såhär ser kraftsituationen ut:

Teraeagle skrev:Såhär ser kraftsituationen ut:
Tusen, tusen tack!!! Måste tyvärr plugga annat nu, men jag fortsätter imorgon :)
Teraeagle skrev:Det första du måste bestämma är hur lång tid det ska ta för kupolen att komma igång till full rotation. Du kan då räkna ut hur stor vinkelaccelerationen ska vara. Exempel: Från stillastående till en vinkelhastighet på 2 varv/min (=4 rad/min) på 4 minuter ger vinkelaccelerationen rad/min2.
Hej igen!
Har funderat, men jag förstår inte hur jag ska räkna ut tiden som det ska ta för "golvet" i cylindern att komma igång till full rotation? Finns det någon formel för det? (Tänker att kupolen ska vara fast, och att bara golvet, alltså golvet som personen i min tidigare figur står på, ska rotera)
Fungerar det att låta X vara fast?
Du måste bestämma det själv.
Ju längre tid det tar för cylindern att nå full rotation, desto mindre effekt kommer energikällan att behöva leverera. Samtidigt blir det ju väldigt opraktiskt om det tar för lång tid.
Såhär hade jag gjort: Antag någon tid som du tycker verkar rimlig och räkna sen ut hur mycket effekt som krävs. Kan du leverera den effekten? Om inte - testa att förlänga tiden det tar att nå full rotation.
Om inte kupolen ska rotera måste du ta bort ur ekvationen jag skrev i mitt tidigare inlägg som beskrev hur du räknar ut momentet .
Sen måste vi egentligen ta hänsyn till att det inte är någon cylinder nu när golvet lutar, utan en ”avkapad kon”. Då ser ekvationen annorlunda ut. Däremot, om lutningen är nära 90 grader kan man anta att det approximativt liknar en cylinder. Vad fick du fram för värde på vinkeln?
Teraeagle skrev:Du måste bestämma det själv.
Ju längre tid det tar för cylindern att nå full rotation, desto mindre effekt kommer energikällan att behöva leverera. Samtidigt blir det ju väldigt opraktiskt om det tar för lång tid.
Såhär hade jag gjort: Antag någon tid som du tycker verkar rimlig och räkna sen ut hur mycket effekt som krävs. Kan du leverera den effekten? Om inte - testa att förlänga tiden det tar att nå full rotation.
Om inte kupolen ska rotera måste du ta bort ur ekvationen jag skrev i mitt tidigare inlägg som beskrev hur du räknar ut momentet .
Sen måste vi egentligen ta hänsyn till att det inte är någon cylinder nu när golvet lutar, utan en ”avkapad kon”. Då ser ekvationen annorlunda ut. Däremot, om lutningen är nära 90 grader kan man anta att det approximativt liknar en cylinder. Vad fick du fram för värde på vinkeln?
Okej, tack :)
Fick att vinkeln är ungefär 68, är det rimligt?
Då beräknar du momentet på följande sätt:
där R är diametern högst upp intill kupolen medan r är diametern närmast marken.
Det klumpiga uttrycket med radierna har jag hämtat från följande källa (”conical frustum” = ihålig kon utan topp, vilket väggarna kan beskriva som):
Teraeagle skrev:Då beräknar du momentet på följande sätt:
där R är diametern högst upp intill kupolen medan r är diametern närmast marken.
Det klumpiga uttrycket med radierna har jag hämtat från följande källa (”conical frustum” = ihålig kon utan topp, vilket väggarna kan beskriva som):
Är m i formeln då massan för det roterande golvet?
Helt riktigt.
Teraeagle skrev:Då beräknar du momentet på följande sätt:
där R är diametern högst upp intill kupolen medan r är diametern närmast marken.
Det klumpiga uttrycket med radierna har jag hämtat från följande källa (”conical frustum” = ihålig kon utan topp, vilket väggarna kan beskriva som):
Försökte hitta den formeln i dokumentet, och det här är väl samma? (på s. 11)

Men varför står det i så fall W istället för m?
De har bara använt en annan bokstav (W för weight) jämfört med vad jag hade gjort i den här tråden.
Teraeagle skrev:Effekten som krävs ges av vridmomentet multiplicerat med vinkelhastigheten :
Problemet är att momentet inte är lika stort under hela rotationen. När man ska starta rotationen hos kupolen krävs en större acceleration, vilket kräver en större kraft och därmed ett större moment (vilket innebär en högre effektförbrukning). När kupolen sedan roterar behöver den bara överkomma friktionskrafterna, vilket inte kräver ett lika stort moment och därmed en lägre effektförbrukning. Vi vet inte hur stora friktionsförlusterna är i det här fallet.
Det första du måste bestämma är hur lång tid det ska ta för kupolen att komma igång till full rotation. Du kan då räkna ut hur stor vinkelaccelerationen ska vara. Exempel: Från stillastående till en vinkelhastighet på 2 varv/min (=4 rad/min) på 4 minuter ger vinkelaccelerationen rad/min2.
När du har räknat ut en lämplig vinkelacceleration kan du beräkna momentet som krävs för att starta en sådan rotation med hjälp av följande formel:
där står för tröghetsmomentet hos den cylindriska delen av staden under jord och kupolen ovanför jord (som vi kan anta är en halv sfär).
Om du sätter in radien () och vinkelaccelerationen, samt vikten hos kupolen och väggarna hos cylindern (dvs ”ringen” som ligger under jord) kan du räkna ut hur stort moment som krävs för att starta rotationen. Sedan sätter du in detta i den första formeln för att bestämma hur stor effekt som krävs när konstruktionen ska börja vridas från stillastående.
Nu kanske detta blev lite överkurs, men själva beräkningarna är inte så svåra nu när du har fått hjälp med formlerna. Jag har även försummat vikten hos ”ekrarna”, men om du vill lägga till dem i ekvationen så kan jag visa hur man gör det.
Är effekten som jag räknar ut nu bara den effekt som krävs under uppstartstiden, innan den har kommit igång till full rotation?
Om man vill veta hur mycket energi som går åt totalt, kan man då bara multiplicera den effekten med tiden som det tar att komma igång till full rotation?
Går det ens att räkna på hur mycket effekt som krävs för att sedan hålla igång rotationen om man inte vet friktionskrafterna?
Är effekten som jag räknar ut nu bara den effekt som krävs under uppstartstiden, innan den har kommit igång till full rotation?
Ja.
Om man vill veta hur mycket energi som går åt totalt, kan man då bara multiplicera den effekten med tiden som det tar att komma igång till full rotation?
Ja.
Går det ens att räkna på hur mycket effekt som krävs för att sedan hålla igång rotationen om man inte vet friktionskrafterna?
Du måste känna till friktionskrafterna, eller åtminstone göra något antagande om dem. Det här blir egentligen mer av en Fermi-uppskattning, dvs du uppskattar storleken på tider, effekter, hastigheter osv för att få en bild av ungefär vilken tiopotens det handlar om.
Teraeagle skrev:Är effekten som jag räknar ut nu bara den effekt som krävs under uppstartstiden, innan den har kommit igång till full rotation?
Ja.
Om man vill veta hur mycket energi som går åt totalt, kan man då bara multiplicera den effekten med tiden som det tar att komma igång till full rotation?
Ja.
Går det ens att räkna på hur mycket effekt som krävs för att sedan hålla igång rotationen om man inte vet friktionskrafterna?
Du måste känna till friktionskrafterna, eller åtminstone göra något antagande om dem. Det här blir egentligen mer av en Fermi-uppskattning, dvs du uppskattar storleken på tider, effekter, hastigheter osv för att få en bild av ungefär vilken tiopotens det handlar om.
Ok, tack så mycket!
Tror du att det skulle fungera att använda vindkraft och/eller solceller som energikällor/-a? Eller är det helt orimligt?
Räkna på det!
Tror du att det skulle fungera att använda vindkraft och/eller solceller som energikällor/-a? Eller är det helt orimligt?
Finns det någon vind på Mars?
Smaragdalena skrev:Tror du att det skulle fungera att använda vindkraft och/eller solceller som energikällor/-a? Eller är det helt orimligt?
Finns det någon vind på Mars?
https://airandspace.si.edu/exhibitions/exploring-the-planets/online/solar-system/mars/wind/
Lösningsförslag:
Visa spoiler
Om golvet är 10 meter tjockt och består av betong väger det ca 1013 kg.
Vill man att personen ska utsättas för en kraft motsvarande jordens tyngdkraft krävs en hastighet på cirka 100 m/s. Det ger en vinkelhastighet på 0,024 rad/s. Antag att golvet får ett dygn på sig att komma upp i full rotation. Då krävs en vinkelacceleration motsvarande 3*10-8 rad/s2.
I så fall krävs ett moment på 5*1014 Nm, vilket kräver en effekt på 1013 W.
För att sätta det i perspektiv så är solinstrålningen på Mars ca 500 W/m2 och en bra solcell har en verkningsgrad på 20 %. Då behöver du 1010 m2 solcellsyta. Det är alltså en solcellspark som är t.ex. 100 km*100 km stor.
Eller som jämförelse: En medelstor kärnreaktor har en effekt på ca 1 GW. Du behöver 10 000 sådana kärnreaktorer.
Det blir alltså rätt stora siffror, men samtidigt är det en enorm konstruktion som ska börja rotera ganska så snabbt. Troligen är det enklare att bygga flera mindre kupoler.
Teraeagle skrev:du vet även att
Jag räknade om allt, men nu blir det bara fel.
Jag räknar såhär:
Då
och om personen väger 70 kg
Men då blir vinkeln blir då 38,66.
Då blir hastigheten 0.00004613824133413 m/s
Varför blir det så galet?
Det blir galet eftersom du antar att krafterna ska ta ut varandra, men det stämmer inte. Om krafterna tog ut varandra skulle det inte finnas någon centripetalacceleration och då blir hastigheten 0 m/s.
Jag har gett dig tre ekvationer och det finns tre obekanta. Sätter du in alla kända värden får du ett ekvationssystem där du kan bestämma v, Ff och FN.
Teraeagle skrev:Det blir galet eftersom du antar att krafterna ska ta ut varandra, men det stämmer inte. Om krafterna tog ut varandra skulle det inte finnas någon centripetalacceleration och då blir hastigheten 0 m/s.
Jag har gett dig tre ekvationer och det finns tre obekanta. Sätter du in alla kända värden får du ett ekvationssystem där du kan bestämma v, Ff och FN.
Ok, jag känner mig lite virrig nu...
När jag använder GeoGebra blir det såhär:

Där a= och b=
Men är det inte 4 okända variabler? v för vinken, v för hastigheten, och ?
Hatsigheten räknar du ut mha
Edit: formeln ska såklart vara
Teraeagle skrev:Hatsigheten räknar du ut mha
Är då?
Teraeagle skrev:Ja.
Ok men borde inte , alltså utan m?
Annars blir det såhär:

Om jag räknar med att :

Men det kanske inte blev så mycket bättre...
Varför blir det fel?
Helt riktigt. Det ska såklart inte finnas något m i den ekvationen.
Däremot så ska det finnas ett m i din ekvation i del 2 i första skärmdumpen. Du ställer ju upp en kraftbalans, vilket innebär att nettokraften blir centripetalkraften, inte centripetalaccelerationen som du har satt ut. Du ska alltså ha 9,82*70 istället för enbart 9,82 i högerledet.
Teraeagle skrev:Helt riktigt. Det ska såklart inte finnas något m i den ekvationen.
Däremot så ska det finnas ett m i din ekvation i del 2 i första skärmdumpen. Du ställer ju upp en kraftbalans, vilket innebär att nettokraften blir centripetalkraften, inte centripetalaccelerationen som du har satt ut. Du ska alltså ha 9,82*70 istället för enbart 9,82 i högerledet.
Okej, men varför blir vinkeln 250,53?

KriAno skrev:Teraeagle skrev:Helt riktigt. Det ska såklart inte finnas något m i den ekvationen.
Däremot så ska det finnas ett m i din ekvation i del 2 i första skärmdumpen. Du ställer ju upp en kraftbalans, vilket innebär att nettokraften blir centripetalkraften, inte centripetalaccelerationen som du har satt ut. Du ska alltså ha 9,82*70 istället för enbart 9,82 i högerledet.
Okej, men varför blir vinkeln 250,53?
Känner mig lite lost. Jag får helt nya värden varje gång jag försöker lösa ekvationssystemet, jag lyckas tyvärr inte lösa problemet...
Nu har jag kontrollräknat och fick först samma svar som du, men jag inser vad vi har gjort för fel. Friktionen är ju inte riktad uppåt längs golvet, utan nedåt längs golvet. Friktionen verkar i den riktning som är motsatt rörelseriktningen och när man centrifugerar på det här sättet vill man röra sig uppåt (”slungas ut”) längs golvet snarare än nedför golvet. Hade man varit stillastående hade det däremot varit tvärt om.
Lösningen är att byta tecken här:

Teraeagle skrev:Nu har jag kontrollräknat och fick först samma svar som du, men jag inser vad vi har gjort för fel. Friktionen är ju inte riktad uppåt längs golvet, utan nedåt längs golvet. Friktionen verkar i den riktning som är motsatt rörelseriktningen och när man centrifugerar på det här sättet vill man röra sig uppåt (”slungas ut”) längs golvet snarare än nedför golvet. Hade man varit stillastående hade det däremot varit tvärt om.
Lösningen är att byta tecken här:
Ok, tack så jättemycket!!
När jag ändrar så blir det såhär:

Förstår dock inte varför jag får nya värden varje gång som jag utför beräkningen... Borde jag inte få konstanta värden?
Fast nu fick du ju samma värden på krafterna som tidigare? I exemplet där jag ritade in röda plustecken hade du inte multiplicerat 9,82 med massan.
Nu vet du att vinkeln ska vara 64 grader.
Teraeagle skrev:Fast nu fick du ju samma värden på krafterna som tidigare? I exemplet där jag ritade in röda plustecken hade du inte multiplicerat 9,82 med massan.
Nu vet du att vinkeln ska vara 64 grader.
När jag löser ekvationssystemet blir det såhär:

På rad 4 är de exakta svaren, och på rad 5 är svaren avrundade. Men (a) och (b) varierar mellan att vara positiva och negativa, medan v varierar väldigt för varje gång jag utför beräkningen. Varför blir det så?
Skumt! Jag har aldrig använt Geogebra själv, så jag kan inte riktigt svara på varför det blir så. Det kan bero på att det finns flera olika vinklar som ger rätt svar (man kan t.ex. lägga på 360 grader och komma tillbaka till samma vinkel), men vi vet ju att den rätta vinkeln är den som ligger mellan 0 och 90 grader och där krafterna är positiva.
WolframAlpha ger det rätta, fullständiga svaret:
Teraeagle skrev:Skumt! Jag har aldrig använt Geogebra själv, så jag kan inte riktigt svara på varför det blir så. Det kan bero på att det finns flera olika vinklar som ger rätt svar (man kan t.ex. lägga på 360 grader och komma tillbaka till samma vinkel), men vi vet ju att den rätta vinkeln är den som ligger mellan 0 och 90 grader och där krafterna är positiva.
WolframAlpha ger det rätta, fullständiga svaret:
Ok, tack!! Men anges svaret i grader eller radianer?

Spelar det någon roll vilket värde n har?
Radianer. Som jag sa så vet du ju att svaret måste ligga mellan 0 och 90 grader, eller 0 och pi/2 radianer. Det finns bara ett heltalsvärde på n som uppfyller det.
Teraeagle skrev:Radianer. Som jag sa så vet du ju att svaret måste ligga mellan 0 och 90 grader, eller 0 och pi/2 radianer. Det finns bara ett heltalsvärde på n som uppfyller det.
Ok!
Då blir vinkeln alltså:
I grader blir då vinkel
Stämmer det?
Det verkar stämma.
Teraeagle skrev:Det verkar stämma.
Ok!! Tack så otroligt mycket för all hjälp!!! :)
Teraeagle skrev:Lösningsförslag:
Om golvet är 10 meter tjockt och består av betong väger det ca 1013 kg.
Vill man att personen ska utsättas för en kraft motsvarande jordens tyngdkraft krävs en hastighet på cirka 100 m/s. Det ger en vinkelhastighet på 0,024 rad/s.
Förstår inte riktigt hur du räknar ut hastigheten till 100 m/s?
Hur jag räknar:
Vad har jag missat?
Ingenting, det är jag som har missat :)
Hastigheten ska vara ca 635 m/s.
Hur omvandlar jag det till vinkelhastighet? Finns det någon formel?
edit:
Kan man göra såhär:
Omkretsen: 82000*pi = 257610.6 m
Omloppstiden: 257610.6/634.5 = 406.00567 sek
Vinkelhastighet: (2* pi) / 406.00567 = 0.01547561 rad/sek
Helt riktigt!
Teraeagle skrev:du vet även att
Visade lösningen för min lärare och han menade att man inte behöver räkna med friktionskraften, jag tycker att det blir fel resultat om man inte tar hänsyn till den, vad tycker du?
I min värld borde man ta hänsyn till friktionen.
- Det skulle finnas en friktionskraft mellan dina fötter och underlaget i verkligheten.
- Om det inte fanns någon friktion skulle man störta 41 km nedåt mot mittpunkten så fort golvet slutade rotera. Känns väldigt opraktiskt och farligt.
Fick du någon motivering till varför den inte borde tas med?
Teraeagle skrev:I min värld borde man ta hänsyn till friktionen.
- Det skulle finnas en friktionskraft mellan dina fötter och underlaget i verkligheten.
- Om det inte fanns någon friktion skulle man störta 41 km nedåt mot mittpunkten så fort golvet slutade rotera. Känns väldigt opraktiskt och farligt.
Fick du någon motivering till varför den inte borde tas med?
Min lärare hade svårt att förklara. Han ritade den här bilden och så stressade han iväg.
Jag förstår dock inte riktigt hans ritning...

Jag förstår hur han menar. Det finns en (och endast en) hastighet som gör att man kan gå i en cirkulär bana ifall det inte finns någon friktionskraft. Det sker när tyngd- och normalkrafternas kraftresultat är precis så stor som krävs för att det ska ske en cirkelrörelse.
Det finns dock ett gäng praktiska problem med detta:
- Man skulle inte kunna vandra på ett golv utan friktion.
- Hur skulle man rent praktiskt få upp hastigheten hos personen? Golvet börjar ju rotera, men personen kommer att förbli i vila utan friktion.
- Om golvet stannar så fortsätter personen att rotera ifall den nu kommer upp i en rotationsrörelse på något sätt.
Teraeagle skrev:Jag förstår hur han menar. Det finns en (och endast en) hastighet som gör att man kan gå i en cirkulär bana ifall det inte finns någon friktionskraft. Det sker när tyngd- och normalkrafternas kraftresultat är precis så stor som krävs för att det ska ske en cirkelrörelse.
Det finns dock ett gäng praktiska problem med detta:
- Man skulle inte kunna vandra på ett golv utan friktion.
- Hur skulle man rent praktiskt få upp hastigheten hos personen? Golvet börjar ju rotera, men personen kommer att förbli i vila utan friktion.
- Om golvet stannar så fortsätter personen att rotera ifall den nu kommer upp i en rotationsrörelse på något sätt.
Ok! Tack så mycket!!
Är det såhär det är tänkt?:
Är F alltså en kraftresultant till F_c och F_g ? Och är komposanten isåfall = ?
Rita in tyngdkraften och normalkraften. Utan friktion så tar de ut varandra i y-led och resultanten i x-led motsvarar centripetalkraften.
Teraeagle skrev:Rita in tyngdkraften och normalkraften. Utan friktion så tar de ut varandra i y-led och resultanten i x-led motsvarar centripetalkraften.
Okej, men var kommer F ifrån?

Ingen aning. Du får fråga din lärare hur han har tänkt.
Hej igen!
Pratade med min lärare idag och han vill inte att jag ska räkna med friktion, så nu måste jag tyvärr göra som han säger. (Ska redovisa om två dagar så känner mig stressad...)
Jag har svårt att förstå hur jag ska göra...
Försökte rita en bild av hur det blir efter tyngdkraften och normalkraftens y_komposant tagit ut varandra. Kan man verkligen ha både komposanterna till och själva kraften samtidigt? Förstår inte hur ekvationen ska se ut om jag ska räkna ut vinkeln från detta...

Normalkraftens x-komposant motsvarar centripetalkraften och y-komposanten balanserar tyngdkraften (som du inte har ritat ut).
Fast ärligt talat är det direkt oansvarigt av din lärare ifall han inte ger någon förklaring annan än ”gör såhär, jag har rätt men tänker inte förklara varför.” Det hade varit rimligt att försumma friktionskraften ifall personen (eller lådan i din bild) gled relativt underlaget, dvs att underlaget låg stilla. Men som i det här fallet är det inte fysikaliskt möjligt att sätta personen i rotation ifall det inte finns någon friktionskraft.
Teraeagle skrev:Normalkraftens x-komposant motsvarar centripetalkraften och y-komposanten balanserar tyngdkraften (som du inte har ritat ut).
Fast ärligt talat är det direkt oansvarigt av din lärare ifall han inte ger någon förklaring annan än ”gör såhär, jag har rätt men tänker inte förklara varför.” Det hade varit rimligt att försumma friktionskraften ifall personen (eller lådan i din bild) gled relativt underlaget, dvs att underlaget låg stilla. Men som i det här fallet är det inte fysikaliskt möjligt att sätta personen i rotation ifall det inte finns någon friktionskraft.
Ja, det är jobbigt.
Försökte räkna ut rotationshastigheten, stämmer detta?:

Nej det är fel. Det är centripetalkraften som ska motsvara mgjorden och inte normalkraften. Du ska räkna ut den hastighet som gör att Fc=mgjorden och sedan använda den hastigheten i kraftjämvikten för att bestämma golvets lutning, vilket du helt verkar ha försummat nu helt plötsligt.
Teraeagle skrev:Nej det är fel. Det är centripetalkraften som ska motsvara mgjorden och inte normalkraften. Du ska räkna ut den hastighet som gör att Fc=mgjorden och sedan använda den hastigheten i kraftjämvikten för att bestämma golvets lutning, vilket du helt verkar ha försummat nu helt plötsligt.
Ursäkta mig - jag känner mig väldigt förvirrad...
När jag pratade med min lärare så sa han att . Så nu vet jag inte hur jag ska tänka...
Din lärare verkar ha många spännande idéer och utan någon motivering går det tyvärr inte att förstå hur han har tänkt.
Syftet med centrifugen är att skapa en centrifugalkraft som är lika stor som jordens tyngdkraft. Centrifugalkraften är lika stor som centripetalkraften men riktad åt motsatt håll. Om centrifugalkraften är vår ”simulerade tyngdkraft på jorden” så är centripetalkraften vår ”simulerade normalkraft på jorden”.
Teraeagle skrev:Din lärare verkar ha många spännande idéer och utan någon motivering går det tyvärr inte att förstå hur han har tänkt.
Syftet med centrifugen är att skapa en centrifugalkraft som är lika stor som jordens tyngdkraft. Centrifugalkraften är lika stor som centripetalkraften men riktad åt motsatt håll. Om centrifugalkraften är vår ”simulerade tyngdkraft på jorden” så är centripetalkraften vår ”simulerade normalkraft på jorden”.
Ja, han har haft många spännande genomgångar.
Han sa att jag inte skulle räkna med friktionen, men att om man skulle göra det, så skulle man få flera olika intervall... Mycket oklart.