6 svar
93 visningar
Soderstrom behöver inte mer hjälp
Soderstrom 2768
Postad: 16 okt 2021 17:16 Redigerad: 16 okt 2021 17:16

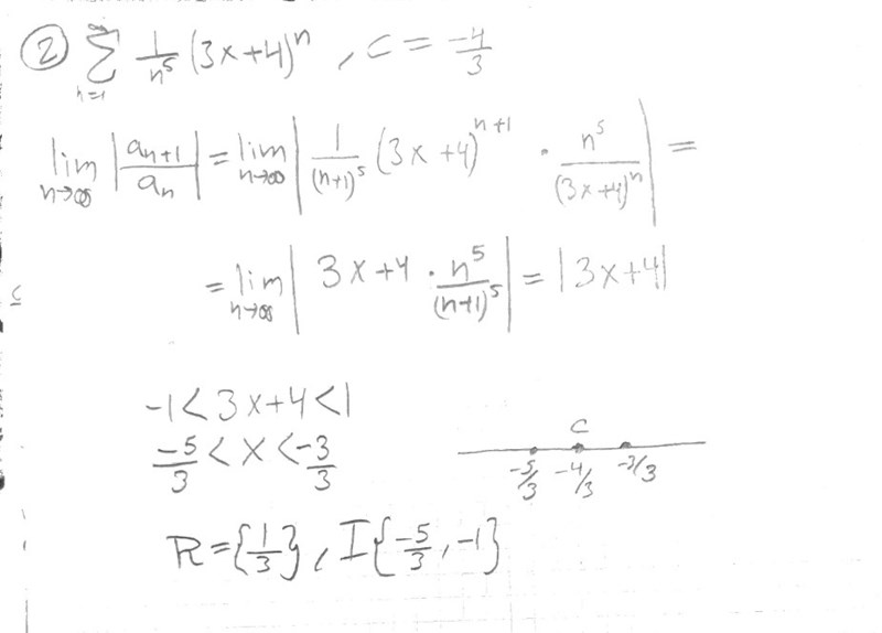
Centrum och radie för potensserie

Har jag gjort rätt?

beerger 962
Postad: 16 okt 2021 17:23

{} är mängdnotation och i detta fall tolkas ditt svar som att serien endast konvergerar vid -53 och -1

Använd istället: -53, -1 eller -53<x<1


Du har inte hittat alla x som gör att serien konvergerar. Du måste undersöka ändpunkter i intervallet, var för sig!

Vad händer då x=-53 resp. x=-1?


Är konvergensen absolut eller betingad?

Soderstrom 2768
Postad: 16 okt 2021 17:29
beerger skrev:

{} är mängdnotation och i detta fall tolkas ditt svar som att serien endast konvergerar vid -53 och -1

Använd istället: -53, -1 eller -53<x<1

Ok! 

Du har inte hittat alla x som gör att serien konvergerar. Du måste undersöka ändpunkter i intervallet, var för sig!

Ok!

Vad händer då x=-53 resp. x=-1?

Absolutbeloppet ger oss samma tal, dvs 1. (Om det är det du menar).

Är konvergensen absolut eller betingad?

Jag tänker att konvergensen är absolut, med tanke på att absolutbeloppet ger samma tal (?).

beerger 962
Postad: 16 okt 2021 17:45
Soderstrom skrev:

Vad händer då x=-53 resp. x=-1?

Absolutbeloppet ger oss samma tal, dvs 1. (Om det är det du menar).

Är konvergensen absolut eller betingad?

Jag tänker att konvergensen är absolut, med tanke på att absolutbeloppet ger samma tal (?).

Det stämmer, så vad blir intervallet för konvergens?

Soderstrom 2768
Postad: 16 okt 2021 18:08 Redigerad: 16 okt 2021 18:08

[-53,-1][-\frac{5}{3}, -1]?

beerger 962
Postad: 16 okt 2021 19:06

Det stämmer bra!

Soderstrom 2768
Postad: 16 okt 2021 19:10
beerger skrev:

{} är mängdnotation och i detta fall tolkas ditt svar som att serien endast konvergerar vid -53 och -1

Använd istället: -53, -1 eller -53<x<1


Jag har dock en fråga här. Borde det inte stå -53x-1-\frac{5}{3} \leq x \leq -1 istället för din olikhet?

Svara
Close