Cesiumsönderfall
Nukliden Cs-137 är instabil med halveringstiden 30,2 år. Genom negativt betasönderfall bildas en exciterad bariumisotop, som förblir i detta tillstånd en mätbar tid. Övergången till grundtillståndet sker med en halveringstid av 153 s. I ett cesiumpreparat kan därför en jämvikt inställa sig så att antalet exciterade bariumkärnor förblir konstant under lång tid. Hur många sådana kärnor finns vid jämvikt i ett cesiumpreparat med 1,0 mg cesium-137?
Nu har jag kört fast på den här uppgiften. Kan någon förklara hur jag ska tillväga?
Tack på förhand!
Villkoret för konstant exciterade Ba-koncentration är att det tillkommer lika många som faller tillbaka till grundtillståndet. Bägge förändringar beskrivs av exponentialfunktioner. Hjälper det dig?
Peter skrev:Villkoret för konstant exciterade Ba-koncentration är att det tillkommer lika många som faller tillbaka till grundtillståndet. Bägge förändringar beskrivs av exponentialfunktioner. Hjälper det dig?
Jag vet att jag ska utgå ifrån sambandet där N är antalet kvarvarande kärnor efter tiden t och T är halveringstiden.
För Cs kan jag räkna ut antalet kärnor från början, alltså :
För den exciterade Barium vet jag att T=153 s och ....???
Bra! Då har du full koll på Cs med andra ord. Återstår att få ett grepp på Ba. Mer specifikt vill vi ha någon ursprungsmängd exciterade Ba kärnor.
Man (=någon annan än jag) kan ställa upp en differentialekvation för detta men jag tror inte att du har läst om sådana ännu.
Det är väldigt stor skillnad på 153s och 30,2 år. Det borde gå att utnyttja på något smart sätt. Kanske inte det smartaste sättet men ett sätt i alla fall, skulle kunna vara att ta i ordentligt. Beräkna hur många Cs-sönderfall som man har under de 10 (eller 100?) första Ba-halveringstiderna, d.v.s. sätt t=153×10. Låtsas att ingen av dessa Ba sönderfaller och använd det antalet som N0 i ekvationen för Ba. Sedan kan du ta reda på var de 2 kurvorna där varandra.
Varför skulle det funka kan man undra. Det blir en bra approximation om skärningspunkten är hyfsat okänslig för valet av N0 för Ba. Skillnaden i halveringstider borde ha den effekten, tycker jag. Om du orkar kan du kolla hur mycket skärningspunkten flyttat på sig om du väljer 10,100 eller 1000 halveringstider. Då får man ett grepp om approximationsfelet. Ett par poäng på uppgiften är det värt i alla fall!
Peter skrev:Bra! Då har du full koll på Cs med andra ord. Återstår att få ett grepp på Ba. Mer specifikt vill vi ha någon ursprungsmängd exciterade Ba kärnor.
Man (=någon annan än jag) kan ställa upp en differentialekvation för detta men jag tror inte att du har läst om sådana ännu.
Det är väldigt stor skillnad på 153s och 30,2 år. Det borde gå att utnyttja på något smart sätt. Kanske inte det smartaste sättet men ett sätt i alla fall, skulle kunna vara att ta i ordentligt. Beräkna hur många Cs-sönderfall som man har under de 10 (eller 100?) första Ba-halveringstiderna, d.v.s. sätt t=153×10. Låtsas att ingen av dessa Ba sönderfaller och använd det antalet som N0 i ekvationen för Ba. Sedan kan du ta reda på var de 2 kurvorna där varandra.
Varför skulle det funka kan man undra. Det blir en bra approximation om skärningspunkten är hyfsat okänslig för valet av N0 för Ba. Skillnaden i halveringstider borde ha den effekten, tycker jag. Om du orkar kan du kolla hur mycket skärningspunkten flyttat på sig om du väljer 10,100 eller 1000 halveringstider. Då får man ett grepp om approximationsfelet. Ett par poäng på uppgiften är det värt i alla fall!
Du har skrivit "Låtsas att ingen av dessa Ba sönderfaller och använd det antalet som N0 i ekvationen för Ba". Vad menar du med det?
Jag har läst en del om differentialekvationer- egentligen till början av Laplacetransform. Kan du vara snäll och visa hur man(den tredje personen) ställer upp ekvationen?
Hej Max, läser du fysik på gymnasienivå eller högskolenivå?
Förändringen av antalet Cs 137 är derivatan
Du kan övertyga dig om att det är sant genom att studera derivatan av där
På samma sätt är förändringen av antalet Ba
Det ger alltså ett system av två kopplade differentialekvationer som kan lösas, vilket jag tycker att du ska göra om du läser på högskolenivå, för att visa att det som påstås i uppgiftstexten stämmer. För gymnasiet är det lite overkill.
Enligt uppgiften råder jämvikt, dvs antalet Ba är konstant. Det betyder att derivatan (förändringen av antalet Ba) . Den andra ekvationen ger därför:
Jroth skrev:Hej Max, läser du fysik på gymnasienivå eller högskolenivå?
Förändringen av antalet Cs 137 är derivatan
Du kan övertyga dig om att det är sant genom att studera derivatan av där
På samma sätt är förändringen av antalet Ba
Det ger alltså ett system av två kopplade differentialekvationer som kan lösas, vilket jag tycker att du ska göra om du läser på högskolenivå, för att visa att det som påstås i uppgiftstexten stämmer. För gymnasiet är det lite overkill.
Enligt uppgiften råder jämvikt, dvs antalet Ba är konstant. Det betyder att derivatan (förändringen av antalet Ba) . Den andra ekvationen ger därför:
Läser fysik på båda nivåerna! Den här uppgiften har jag faktiskt hittat i "Heureka, Fysik kurs B, Gymnasieskolan, 2009".
Jag visste ju att förändringen av antalet sönderfall kallas med andra ord aktiviteten hos ett visst preparat, dvs. :
Men det som var svårt med den här uppgiften var ju att jag inte visste hur jag skulle tänka för att räkna ut antalet Ba-kärnor.
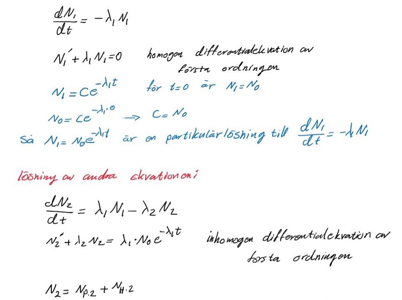
Förresten, så här har jag löst differentialekvationerna:


Stämmer det?
Ja, nästan.
Tänk på att det är din totala lösning som ska uppfylla randvillkoren, det innebär att du måste lägga ihop den homogena lösningen med den partikulära innan du räknar ut vad C ska vara. Din nuvarande sammanslagna lösning uppfyller inte randvillkoret
Slutligen kan du utnyttja att eftersom halveringstiden för är så kort (sekunder) jämfört med halveringstiden för (10-tals år).
T.ex. innebär det att om du skulle stöta på något sådant uttryck samt att
När du har landat i ett förenklat uttryck kan du slutligen låta och se att påståendet i frågan faktiskt är korrekt.
Är det inte ett tveksamt randvillkor?
Din nuvarande sammanslagna lösning uppfyller inte randvillkoret N2(0)=0
Jag antar att N2(0) är antalet exciterade Ba kärnor vid start. Vi vet inget om det antalet. Det är ganska säkert inte 0. Det är ju inte så att man har "inget sönderfall"och sen plötsligt börjar Cs sönderfalla.
Min misstanke är att jämviktsläget är okänslig för värdet av N2(0) (vilket iofs kan vara ett argument att välja 0 men det borde motiveras på något sätt). Jag kanske ska sätta mig och räkna på olika val av N2(0) som jag föreslog ovan.
Peter skrev:Är det inte ett tveksamt randvillkor?
Min misstanke är att jämviktsläget är okänslig för värdet av N2(0)
Ja, det är en korrekt misstanke och nej, det är inte ett tveksamt randvillkor.
Vid experiment bortför man bariumisotoperna från jonsubstratet genom sköljning, kallas "milking the generator". Vi får alltså lite extra nytta om vi ansätter randvillkoret.
Men det hade gått lika bra att låta randvillkoret beskrivas av den okända konstanten C, tillämpa förenklingarna och räkna ut jämviktsläget (som naturligtvis visar sig vara oberoende av C).
Om man stör jämvikten kommer systemet sträva efter att återställa jämvikten. Vi ser också att den homogena lösningen med randvillkoret blir oväsentlig när vi tillämpar förenklingen .
Däremot tycker jag att man ska lösa differentialekvationen korrekt om man ändå löser den. Den göttiga fysiken finns i förståelsen för vad man kan förenkla och vad man måste behålla i sin modell.
Jroth skrev:Ja, nästan.
Tänk på att det är din totala lösning som ska uppfylla randvillkoren, det innebär att du måste lägga ihop den homogena lösningen med den partikulära innan du räknar ut vad C ska vara. Din nuvarande sammanslagna lösning uppfyller inte randvillkoret
Slutligen kan du utnyttja att eftersom halveringstiden för är så kort (sekunder) jämfört med halveringstiden för (10-tals år).
T.ex. innebär det att om du skulle stöta på något sådant uttryck samt att
När du har landat i ett förenklat uttryck kan du slutligen låta och se att påståendet i frågan faktiskt är korrekt.
Just det! Lösningen för ska då bli: , om man löser ut C. Gör man inte det och man är ute efter samtliga lösningarna, då får det bli:
Eller hur?
Ja, ser bra ut!
Ibland pratar man om aktiviteten istället för att antalet . Det är ju aktiviteten man kan mäta.
Eftersom Cs har så lång halveringstid låter man aktiviteten Cs vara en konstant och ekvationen uttrycks då som