1
svar
74
visningar
Qetsiyah behöver inte mer hjälp
Checka mitt svar: fråga om ideala gaser
Frågan:

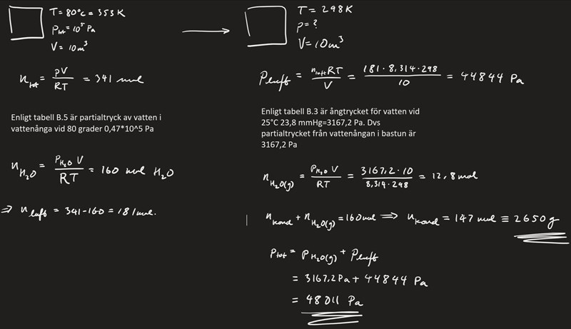
Min lösning:

Qetsiyah, du har redan en tråd om den här frågan, fortsätt där! Det står i Pluggakutens regler att man bara får ha en tråd om varje fråga. /moderator