6 svar
136 visningar
shemeren 35 – Fd. Medlem
Postad: 13 maj 2020 10:39 Redigerad: 13 maj 2020 10:39

cirkelns ekvation

hej skulle behöva något tips på hur man ska börja

Arktos 4595
Postad: 13 maj 2020 10:56

Rita!

Den första cirkeln har sin medelpunkt i  (3; 1) och radien 1 l.e.
Hur är det med den andra?
Rita cirklarna i ett koordinatsystem.

Hur ser det kortaste avståndet mellan dem ut att vara?

joculator 5200 – F.d. Moderator
Postad: 13 maj 2020 10:58

Det finns säkert något lättare sätt, men här är en lösning:

-Rita figur.   Alltid bra, men inte helt nödvändigt.
-Ta fram och markera mittpunkterna.   
-Dra en linje mellan mittpunkterna.
-Räkna ut ekvationen för den linjen.   Det var hit vi ville komma för att kunna lösa uppgiften.

Kommer du vidare?

Olaf-Johansson 502 – Fd. Medlem
Postad: 14 maj 2020 17:49
Arktos skrev:

Rita!

Den första cirkeln har sin medelpunkt i  (3; 1) och radien 1 l.e.
Hur är det med den andra?
Rita cirklarna i ett koordinatsystem.

Hur ser det kortaste avståndet mellan dem ut att vara?

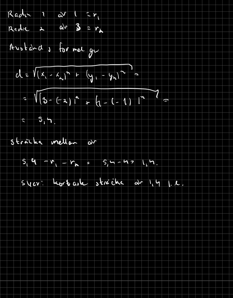
Skulle du säga att denna lösning stämmer? 

 

Visa spoiler

Skriv ditt dolda innehåll här

Arktos 4595
Postad: 14 maj 2020 19:28

Det är alldeles rätt tänkt,
men du talar inte om vad det är för avstånd du beräknar eller var medelpunkterna ligger etc,

Bra utkast!
Lite mer text + en figur så blir det en bra lösning.

shemeren 35 – Fd. Medlem
Postad: 14 maj 2020 19:58

29-4  längdenheter är svaret

Arktos 4595
Postad: 14 maj 2020 20:59

Det är riktigt.
Man bör ange det exakta värdet, innan man ev. ger ett värmevärde.

Svara
Close