Cirkulär rörelse, användning av cylindriska koordinater
Hej, lite problem med följande uppgift. Första gången jag försöker lösa problem av denna typ mha cylindriska koordinater. Vet inte riktigt hur jag ska börja, det mesta jag har skrivit är från föreläsningsanteckningar.
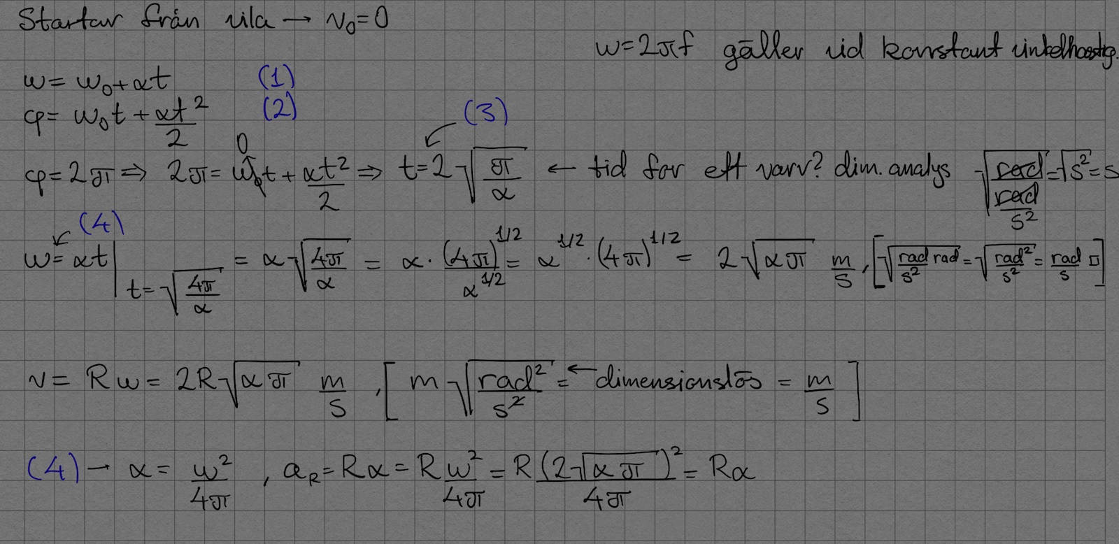
Edit: vid t=0 är cyklisten i vila, innebär det att accelerationen då är 0 samt att hastigheten är konstant?
Av den information som framgår i uppgiftstexten står inget om att den cirkulära banan lutar och ingen kraft efterfrågas. Du behöver därför inte frilägga cyklisten.- Dessutom föreligger specialfallet konstant vinkelacceleration , vilket innebär att du kan använda följande standardformler:
Notera hur formlerna är en kopia av de "vanliga" formlerna för likformigt accelererad rörelse. Det gäller också att cyklistens väg , hastighet och accelerationer alla är proportionella mot avståndet till rotationsaxeln.
D4NIEL skrev:Av den information som framgår i uppgiftstexten står inget om att den cirkulära banan lutar och ingen kraft efterfrågas. Du behöver därför inte frilägga cyklisten.- Dessutom föreligger specialfallet konstant vinkelacceleration , vilket innebär att du kan använda följande standardformler:
Notera hur formlerna är en kopia av de "vanliga" formlerna för likformigt accelererad rörelse. Det gäller också att cyklistens väg , hastighet och accelerationer alla är proportionella mot avståndet till rotationsaxeln.
Är detta sträckan då? för jag tänker mig att sträckan borde bli omkretsen av den cirkulära banan dvs . Kan jag då sätta och på så sätt lösa ut accelerationen ?
Fi är nog vinkeln. Efter ett varv så är fi = 2pi. Du skall nog anta att vinkelaccelerationen är given, men konstant. Sedan står det att man startar från vila. Så vinkelhastigheten är initialt noll.
PATENTERAMERA skrev:Fi är nog vinkeln. Efter ett varv så är fi = 2pi. Du skall nog anta att vinkelaccelerationen är given, men konstant. Sedan står det att man startar från vila. Så vinkelhastigheten är initialt noll.
Okej, jag har möblerat om formlerna och får att om instoppat i andra ekvationen du nämnde, med ursprungliga vinkelhastigheten 0, (sekunder). Om jag stoppar in detta i första ekvationen igen så får jag (rad/s2) som sluthastighet? Kan detta stämma tro
Nu har du räknat ut vinkelhastigheten
Det de frågar efter i uppgiften är förmodligen hastigheten och accelerationen
D4NIEL skrev:Nu har du räknat ut vinkelhastigheten
Det de frågar efter i uppgiften är förmodligen hastigheten och accelerationen
Så hastigheten v är helt enkelt ?
Edit: Det kan inte stämma, dimensionerna blir fel. är väl fel
= [(rad/s2)rad] = [1/s2]. Verkar stämma.
PATENTERAMERA skrev:= [(rad/s2)rad] = [1/s2]. Verkar stämma.
Det ska väl bli m/s? och är inte högerledet i ditt uttryck rad2/s2
rad är dimensionslöst - förhållandet mellan två längder (båglängd och radie). Sedan har du ju 2r också i formeln. Så det blir faktiskt längd/tidsenhet.
PATENTERAMERA skrev:rad är dimensionslöst - förhållandet mellan två längder (båglängd och radie). Sedan har du ju 2r också i formeln. Så det blir faktiskt längd/tidsenhet.
Självklart, tänkte inte på det. Jag har ju fått men om jag använder formeln och stoppar in så får jag dvs utan 2. Ser du något jag missat?
Cien skrev:
om jag använder formeln
Det gäller bara vid konstant vinkelhastighet.
Pieter Kuiper skrev:Cien skrev:
om jag använder formelnDet gäller bara vid konstant vinkelhastighet.
Har problem med att lösa accelerationen aR. Kommer tillbaka dit jag börja (sista raden)

Vad menar du? Vinkelaccelerationen är given. Accelerationen är enkelt
SaintVenant skrev:Vad menar du? Vinkelaccelerationen är given. Accelerationen är enkelt
Det är då accelerationens tangentiella komposant.
Tänk på att centripetal- eller "normal"- accelerationen fortfarande är (riktad mot rotationsaxeln) som vi lärde oss på gymnasiet.
D4NIEL skrev:Tänk på att centripetal- eller "normal"- accelerationen fortfarande är (riktad mot rotationsaxeln) som vi lärde oss på gymnasiet.
Det känns som de söker ett mer utförligt svar. Tycker du jag ska svara som jag gjort?
Slutvärde:
Alltså söker du enbart som bekant och vi vet att .