1
svar
140
visningar
Complex analys: Vad betyder "pole of order" och varför/hur är den viktig

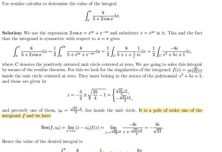
Som det gulmarkerade ovan.
- Är det viktigt och skriva ut det?
- får man inte använda residysatsen annars om de inte är order 1?
För jämför man tex denna uppg:

Så skriver man inget om poler etc...
Jo, en simple pole (sv. enkel pol) är just en pol av ordning 1. Om du har högre ordning blir residyn annorlunda. Det lär stå om det i din bok, annars kan du säkert googla på "Residue at higher order pole" eller "Residue at a pole of order n".