3
svar
191
visningar
offan123 behöver inte mer hjälp
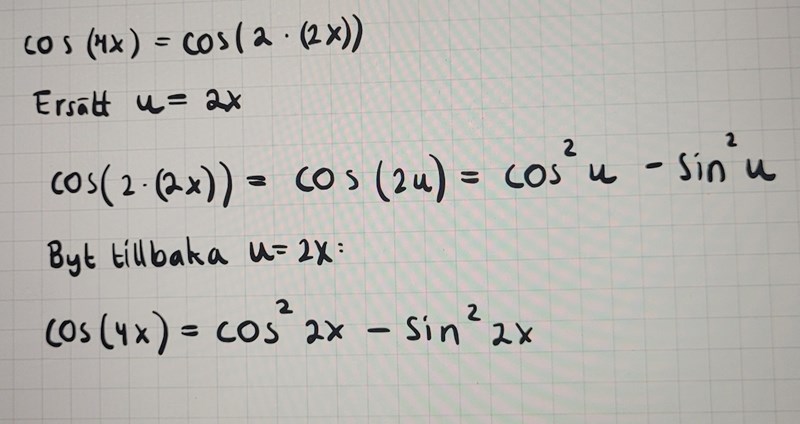
cos (4x)
Jag behöver hjälp med att skriva om cos (4x) med dubbelvinkeln.
Dubbelvinkeln för cosinus: cos (2x)= cos2x - sin2x.
Man kan ju skriva cos (2*(2x))=...
Men jag vet inte hur det dubbla kommer påverka HL av sambandet. Fördubblas cos2x - sin2x ?
Sätt och expandera med dubblavinkeln, sedan är det bara byta tillbaka. :)
verkar detta stämma?
Japp, ser bra ut! :)