Cossinus satsen
hej gott nyt år på er!!
jag försöker lösa ut olika sidor/vinklar på trianglar med hjälp av cossinus satsen men fastnar på förenklingarna då jag inte får använda miniräknar på uppgifterna.
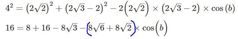
Jag har räknat ut sidan (C) och behöver räkna ut . Alla dessa tecken gör förenkligen mycket svårare än vad det egentligen är.
a=cm
b=4 cm
c= cm
= radianer
Nu vet jag ej hur jag ska fortsätta med alla roten ur tecken för att få cos(b)= som facit har fått.
Till att börja med har du glömt ett par parenteser, se bild:

Hur är uppgiften formulerad ursprungligen? Skriv av den ord för ord eller ladda upp en bild.

Jag kan räkna ut b med sinussatsen men vill lära mig jobba med cossinus satsen.
har jag ingen anning hur man subtraherar.
Varför vill du använda en dålig metod när det finns en bra?
Smaragdalena skrev:Varför vill du använda en dålig metod när det finns en bra?
haha man ska ju lära sig allt :) nej men vill nog bara veta hur man adderar /subbtraherar roten ur tecknen utan miniräknare. Formeln i sig är ju enkelt.
En stor del av att bli bra på matematik är att kunna välja den bästa metoden. Och vad det gäller så kan inte jag räkna det i huvudet, heller.
dilan22 skrev:[...]
har jag ingen anning hur man subtraherar.
------
Men jag ser nu att jag skrivit fel i mitt tidigare svar. Det ska såklart vara

Smaragdalena skrev:En stor del av att bli bra på matematik är att kunna välja den bästa metoden. Och vad det gäller så kan inte jag räkna det i huvudet, heller.
Du har rätt, det är inte värd allt besvär.