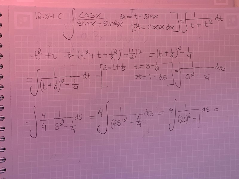
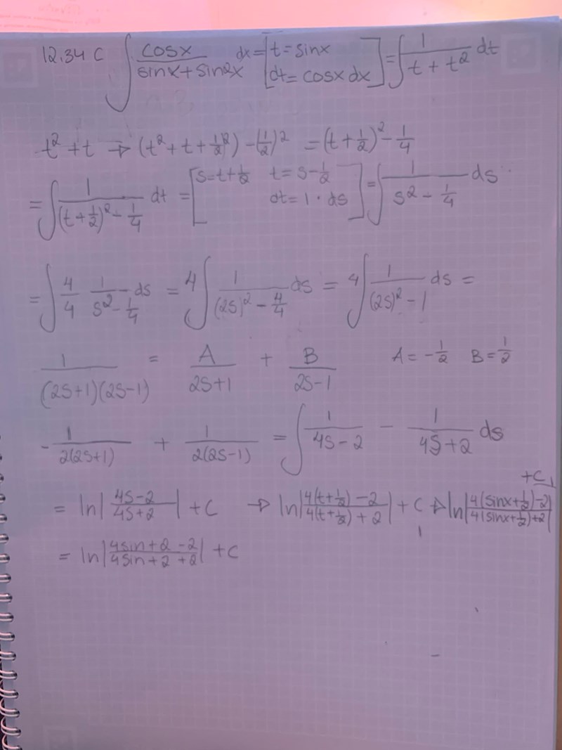
Cosx/sinx+sinx^2
Hej jag hittade denna lösning på nätet men trodde förts att det skulle bli arctanx men eftersom det är minus i nämnaren så vet jag inte hur jag hittar primitiven av sista uttrycket.

Partialbråksuppdela.
Tänker du så här?
får ju inte samma som facit som vanligt 😂

Det får du väl. Du kan ju förenkla lite till.
Laguna skrev:Det får du väl. Du kan ju förenkla lite till.
Tack Laguna
Jag skulle behöva träna på att om forma för jag vet aldrig om jag kort rätt.
Jag lär mig bäst genom att först se hur man gör och sen göra samma sak några gånger för att försöka memorera.
känner du till nån app som formar om uttryck?
då skulle jag snabbt få veta om jag lärt mig rätt metod samtidigt som att jag kan träna på att formaom uttryck.
Luna, du slarvar för mycket när du skriver dina beräkningar - exempelvis betyder det du har skrivit i rubriken och inte det du menar, och du har tappat bort "x" på två ställen i det sista ledet - att bara skriva "sin" utan något argument betyder lika lite som att skriva utan argument.
Vad + 2 - 2 blir har du vetat i många år. Jag vet inte vad jag ska föreslå för att övs på att se det bättre.
Smaragdalena skrev:Luna, du slarvar för mycket när du skriver dina beräkningar - exempelvis betyder det du har skrivit i rubriken och inte det du menar, och du har tappat bort "x" på två ställen i det sista ledet - att bara skriva "sin" utan något argument betyder lika lite som att skriva utan argument.
Smaragdalena jag uppskatta nått så enormt hjälpen jag får här tro mig.
Men något du inte riktigt tänker på är att alla är vi olika och har olika förutsättningar att jobba med.
Du ger ofta intrycket av att jag skulle vara lat och inte jobba tillräckligt hårt med mina beräkningar.
jag har både Adhd och dyslexi och ser inte alltid mina missar. Och när jag suttit länge kan jag bli hjärn trött och missa uppenbara lösningar.
Jag är en person som jobbar väldigt hårt. Jag har suttit och räknat från morgon till kväll måndag till fredag hela August för att försöka förstå böckerna.
Jag kan bli väldigt frustrerad av att inte kunna lösa eller förstå ett tal så när jag lägger upp en fråga så försöker jag räkna något annat under tiden eftersom jag aldrig vet hur snabbt jag får svar. Då kan det hända att jag fastnar nån annanstans och då kan det dröja innan jag svarar.
Jag lär mig bäst genom att kunna fråga och se exempel för att samla på olika metoder som jag antecknar och sen övar på att känna igen när jag kan använda dem.
Jag hade hoppats att detta forum var till för att alla oavsett förutsättningar ska få hjälp med det man inte själv ser eller har förstått.
pedagogiken på min matte kurs var för mina behov väldigt bristfällig och har gjort att jag har svårt att tillgodogöra mig kunskapen. Det har oxå gjort mig stressad som gör att jag gör ännu mer missar. Hade det inte vart att jag kompenserat det med envishet och massa jobb så hade jag inte kommit nån vart.
Jag blir hellre klassad som dum och lat (trots att det är oerhört sårande)och lär mig än att vara rädd för att verka dum.
Jag säger detta med allra största väl mening eftersom jag själv vet att det är inte alltid lätt att se bortom sina egna erfaren heter.
Med det sagt vill jag åter igen säga att jag är tacksam för all din och andras hjälp ❤️
Laguna skrev:Vad + 2 - 2 blir har du vetat i många år. Jag vet inte vad jag ska föreslå för att övs på att se det bättre.
Jag var osäker på om jag kunde behandla den innre funktionen som vilket bråk som hellst.
men skulle den innre funktionen inte bli sinX/sinX+4?
luna skrev:Laguna skrev:Vad + 2 - 2 blir har du vetat i många år. Jag vet inte vad jag ska föreslå för att övs på att se det bättre.
Jag var osäker på om jag kunde behandla den innre funktionen som vilket bråk som hellst.
men skulle den innre funktionen inte bli sinX/sinX+4?
Nej, din inre funktion blir inte, och inte heller , som det hade blivit om du inte hade tappat bort parenteserna. Din inre funktion blir som kan förkortas till .
Nej, luna, jag tycker absolut inte att du är dum eller lat - jag försäker hjälpa dig att hitta vad det är du behöver träna mer på för att komma vidare i dina mattestudier. Om du inte ser vad det är du gör fel borde du vara glad att få hjälp med det. Hur skall jag formulera mig för att du inte skall missförstå det?
Hej!
Med Konjugatregeln kan du skriva
,
så att en partialbråksuppdelning av den rationella funktionen är
Talen och bestäms med Handpåläggnings-metoden till samt . Den sökta integralen är därför en summa av två integraler.
Med blir det sökta resultatet funktionerna
.
Smaragdalena skrev:luna skrev:Laguna skrev:Vad + 2 - 2 blir har du vetat i många år. Jag vet inte vad jag ska föreslå för att övs på att se det bättre.
Jag var osäker på om jag kunde behandla den innre funktionen som vilket bråk som hellst.
men skulle den innre funktionen inte bli sinX/sinX+4?
Nej, din inre funktion blir inte, och inte heller , som det hade blivit om du inte hade tappat bort parenteserna. Din inre funktion blir som kan förkortas till .
Nej, luna, jag tycker absolut inte att du är dum eller lat - jag försäker hjälpa dig att hitta vad det är du behöver träna mer på för att komma vidare i dina mattestudier. Om du inte ser vad det är du gör fel borde du vara glad att få hjälp med det. Hur skall jag formulera mig för att du inte skall missförstå det?
Hej Smaragdalen
förlåt att jag tog lite tid att svara, har gjort en omtenta i går och jag brukar bli helt slut i flera dagar av det.
tack så mycket för hjälpen med innre funktionen nu ser jag hur jag tänkt fel.
Fint att du frågar ❤️
Jag tänker att det kan vara bra att använda benämningar som är dömmande och har negativ klang, som slarvfel tillexempel det ger egenskaper till personen du skriver det till utan att du kan veta det. I stället skulle du kunna skriva vad felen är det blir mer konkret oxå för mottagaren. Ex du tycks tappa parantesen här och här är det något du tycker är svårt? eller tecken bytet här har försvunnit kanske blir lättare on du bla bla
Ett annat exempel är detta:
”Om du inte ser vad det är du gör fel borde du vara glad att få hjälp med det.”
Jag både börjar och avslutar med att säga att jag är oerhört tacksam. Och det är jag verkligen!
När du använder ordet borde blir det som att du inte läst vad jag skrivit eller tycker att jag inte är tacksam.
Är det nått jag borde göra för att visa min tacksamhet så får du gärna säga det 🙂 blir lättare för mig att visa den då.
Du är oerhört bra på att hitta lösningarna tack för det och det jobb du lägger ner på att hjälpa andra som mig som inte riktigt har samma förmåga är guld värt ❤️
Slarvfel är den enklaste, banalaste typen av fel. Sådana kan alla göra. Att säga att någon har gjort ett slarvfel är inte att säga att den är slarvig.
Hoppas din omtenta gick bra, luna!
Jag brukar skilja mellan två sorters fel, slarvfel och tankefel. Slarvfel är när man egentligen kan men råkar göra fel ändå, t ex skriva en siffra fel eller skriva + när det skall vara -. Tankefel är när man... tänker fel, kanske det är läsförståelsen som brister. Det är enklare att göra något åt slarvfel (och det händer säkert att jag tolkar det fel ibland, förmodligen åt båda hållen). Har du några bättre förslag på namn på de båda klasserna?
Smaragdalena skrev:Hoppas din omtenta gick bra, luna!
Jag brukar skilja mellan två sorters fel, slarvfel och tankefel. Slarvfel är när man egentligen kan men råkar göra fel ändå, t ex skriva en siffra fel eller skriva + när det skall vara -. Tankefel är när man... tänker fel, kanske det är läsförståelsen som brister. Det är enklare att göra något åt slarvfel (och det händer säkert att jag tolkar det fel ibland, förmodligen åt båda hållen). Har du några bättre förslag på namn på de båda klasserna?
Hej Smaragdalena
tack vi får se om jag klarar den. Jag presterar oftas ju inte super bra på tentor men annars på jag en ny chans att öva mer inför nästa.
Det blev väldigt mycket tydligare när du skriver det så. Och jag förstår grupperingen. Jag tänker inte att du behöver ändra dit tänk i det utan kanske mer hur du formulerat ditt svar 🙂
Även om vissa inte upplever benämningen slarv fel som att tillskrivas negativa egenskaper så finns de dom som gör det av olika anledningar.
Kanske dom fått höra i skolan att dom är slarvig trotts att dom anstränger sig så till den grad att dom inte kan ge mer.
Därför tänkte jag att det blir tydligare att säga att personen tänker rätt för att bekräfta metoden men påpeka vad som har blivit fel i stället för att säga slarv fel. Om man vill betona att felet inte är allvarligt kan man säga att du har bara glömt/tappat -/+ för exempel. Men var konkret och säg vart det är och alternativ om det finns sådana.
Jag vill åter igen tack för din/er hjälp och för att du bryr dig är intresserad av att höra min åsikt ❤️
Det är snarare så att nu har du lärt dig vad ordet slarvfel betyder. Hoppas du kommer att finna det vara ett användbart ord.
Att du gör slarvfel betyder inte (eller åtminstone behöver inte betyda) att du är en slarvig person. Alla gör slarvfel då och då - har man tur uppfattar man dem innan man hinner gå vidare.
Har du lagt märke till hur ofta jag redigerar ett inlägg jag just har skrivit? Det beror för det mesta på att jag har slarvat när jag har skrivit (fast jag skyller envist på mitt dumma tangentbord, men jag tror inte att någon går på det). Ändå försöker jag titta igenom vad jag skrivit och ändrar många dumheter innan jag trycker på "Posta svar" men felen dyker upp ändå.
Laguna skrev:Det är snarare så att nu har du lärt dig vad ordet slarvfel betyder. Hoppas du kommer att finna det vara ett användbart ord.
Hej Laguna jag är oxå väldigt tacksam för all hjälp du har givit mig 🙂
Jag säger inte att slarv fel inte betyder det för dig eller Smaragdalena. Jag säger bara att det kan ha en annan mer negativ uppfattning för andra som har haft andra förutsättningar än er 🙂
För mig är det förknippat med slarvig som är en negativ egenskap.
Jag försöker bara vidga era vyer kring hur man kan uppleva saker och ting, inte säga åter att ni har fel ❤️

Har du något förslag på en bättre benämning på slarvfel än just slarvfel?
De flesta lärare tycker att det är mindre allvarligt med slarvfel - ALLA slarvar ibland, eller skriver fel, eller... även jag! - än med tankefel, som visar att man inte har förstått.
Smaragdalena skrev:Har du något förslag på en bättre benämning på slarvfel än just slarvfel?
De flesta lärare tycker att det är mindre allvarligt med slarvfel - ALLA slarvar ibland, eller skriver fel, eller... även jag! - än med tankefel, som visar att man inte har förstått.
Jag tänkte på det du sa tidigare med att du dela upp det i (kanske inte använder rätt ord) slarv fel och metod fel.
Då skulle jag bekräfta att metoden är riktig och säga vart felen är. Då behöver jag inte använda ordet slarvfel och det blir lättare för personer som mig med dyslexi att hitta sina fel. Om man vill kan man säga att du har nog bara missat att få med pluss eller minus mm.
Men som sagt detta är bara ett förslag 😃
Tack igen för all hjälp! Jag klarade tentan 🥳väldigt mycket tack vare er hjälp ❤️
Smaragdalena skrev:Luna, du slarvar för mycket när du skriver dina beräkningar - exempelvis betyder det du har skrivit i rubriken och inte det du menar, och du har tappat bort "x" på två ställen i det sista ledet - att bara skriva "sin" utan något argument betyder lika lite som att skriva utan argument.
Hehe nej den jämförelsen tycker jag inte om. I alla fall för mig är det bara x eller möjligen ax som argument i trigonometriska funktioner (har aldrig sett något annat, amtagligen för att det skulle bli för krångligt). Under rottecknet kan det finnas vilket skäp som helst. När jag diskuterar uppgifter med vänner eller jobbar själv händer det ofta att argumentet faller bort, men man fattar ändå. Pragmatism!
Det är helt OK att uttrycka sig mer slarvigt när man diskuterar något muntligt - om en föreläsare sa likadant vore det helt fel.
Dock om man vill lata sig med (x) så får man lata sig konsekvent haha. En gång blev ett bevis så klumpigt och krångligt att jag förkortade det trigonometriska funktionerna till s c och t, men det gick inte så bra, jag såg inget och fattade inte vad som stod.
luna, "slarvig" är mycket riktigt en dålig egenskap, men något slarv någon gång gör inte att den benämningen stämmer in på någon, annars skulle vi alla kallas slarviga. Man får bara vara uppmärksam att inte vara fööööör slarvig
Jag är av uppfattningen att många här på PA är vana vid att skilja på person och handling, att det är något som vi tar för givet och att vi förutsätter att detta gäller alla här på forumet.
Det innebär att vi ibland inte tänker på att frågare kan uppleva det som att vi kommenterar deras personlighet när vi egentligen bara har för avsikt att kommentera deras handlingar.
Vi bör alla lära oss av detta och fundera på hur vi ska bemöta våra frågare.
Ansvaret för en fungerande kommunikation ligger både på avsändare och mottagare.
Jag delar Yngves uppfattning.
Det "tar hårdare" om man i hastigheten skriver något som av mottagaren kan upplevas som invektivt och kränkande, än om motsvarande replik skulle sägas i ett klassrum, öga mot öga med frågaren.
Vi som svarar på frågor i detta forum, ska vara mycket medvetna vad och hur vi uttrycker oss - såväl i klassrummet som i detta forum.
Luna: Jag skulle nog inte välja kvadratkomplettering efter första variabelbytet:
. Faktorisering i nämnare+partialbråksuppdelning:
.
Ansats partialbråk:, härav A=1, B=-1 (Eller hur?)
Integrering ger dvs
. Återsubstitution ger oss önskat resultat.
I min mening en enklare väg.