1
svar
94
visningar
MrBlip behöver inte mer hjälp
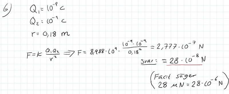
Coulombs lag
Hallå! Jag får fel i min lösning som ni ser i min bifogade printscreen, jag får 28*10-8 N, men i facit står 28*10-6 N. Någon som ser vad jag gör fel?


Hej igen, jag hittade det själv, hade gjort fel med potenserna för laddningarna :) 10-8 ska dom ju ligga på!