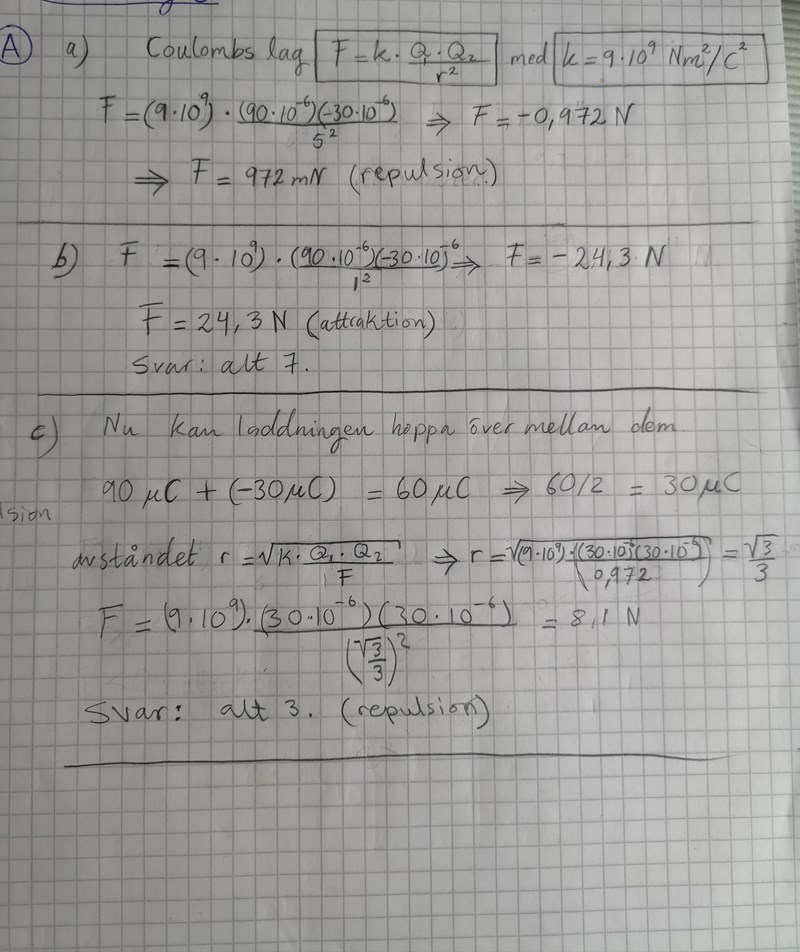
Coulombs lag
Hej, jag fattar inte uppgift b). Tänkte i början att det bör vara alt 4, men i facit är det alt 7. Varför det?

Visa hur du räknade fram kraften!
Du har räknat med avståndet 5 m, men avståndet skall vara 1 m.
Smaragdalena skrev:Du har räknat med avståndet 5 m, men avståndet skall vara 1 m.
Aha, tyckte att det var inte så tydligt med "cirkulära med diametern 100 cm". De menar att man ska betrakta bilarna som en cirkel till varandra med diametern 1 m? alltså diametern är avståndet mellan dem o inte diametern på varenda bil som jag har förstått.. okej jag gör om min beräkning
fick svaret -2,43*10^13 N. Och det stämmer ej med facit, vad är det som är fel?
Du har missat att laddningarna är i enheten coulomb, inte coulomb.
Smaragdalena skrev:Du har missat att laddningarna är i enheten coulomb, inte coulomb.
Varför då är svaret på a) uppgiften rätt som jag räknat, 972 mN?
Har svåt även med uppgift c).. Fattar inte frågan faktist.. Avståndet skall vara 1 m som det står i frågan, varför är alt 2 rätt i facit? Varför 5 meter? De borde inte repellera som jag förstår... Metall mot metall med olika laddningar borde attrahera varandra..
Varför då är svaret på a) uppgiften rätt som jag räknat, 972 mN?
Du har räknat ut en sak och svarat en helt annan. Det du har räknat ut är att kraften är 97,2 pN.
Metall mot metall med olika laddningar borde attrahera varandra..
Om negativt laddad metall kommer i kontakt med positivt laddad metall, så kommer det mesta av laddningarna att ta ut varandra, och överskottsladdningen kommer att fördelas så att vardera bilen får hälften. Alltså har båda bilarna "samma sorts" laddning, och de kommer att repellera varandra.
Smaragdalena skrev:Varför då är svaret på a) uppgiften rätt som jag räknat, 972 mN?
Du har räknat ut en sak och svarat en helt annan. Det du har räknat ut är att kraften är 97,2 pN.
Så du menar att man ska alltid omvandla laddningen till enheten C när man ska beräkna med coulombs lag..
Smaragdalena skrev:Metall mot metall med olika laddningar borde attrahera varandra..
Om negativt laddad metall kommer i kontakt med positivt laddad metall, så kommer det mesta av laddningarna att ta ut varandra, och överskottsladdningen kommer att fördelas så att vardera bilen får hälften. Alltså har båda bilarna "samma sorts" laddning, och de kommer att repellera varandra.
Okej tack, jag förstår nu..

R.i.Al skrev:
Så du menar att man ska alltid omvandla laddningen till enheten C när man ska beräkna med coulombs lag..
Man bör alltid skriva allt som SI-enheter i grundpotensform (om det inte finns någon särskild anledning att göra annorlunda) när man räknar i fysik.
