0
svar
123
visningar
Luffy behöver inte mer hjälp
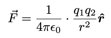
Coulombs lag på vektorform - Riktningsvektorn
Spelar det någon roll vilken riktning man definierar riktningsvektorn i Coulombs lag?

Får inte riktigt grepp om hur man ska tänka när man tänker på Coulombs lag i vektorform.