Curvlinear coordinate system
Hur gör jag på (i)? Jag tänker att om skalärprodukten är noll, då är dom ortogonala. Men det känns som att det inte är den metod som bör användas här (?).
OBS: En uppgift från en gammal tenta.

Låter väl som en bra idé. Varför känns det som en dålig idé?
Så?
Förstår inte vad du gör.
Du behöver kolla att vektorerna , och är ortogonala.
menar du att jag ska derivera med avseende på u v w? Och sen göra samma sak för y och z?
= (x, y, z). = .
Vad gör jag sen?
Ser inte ut som du deriverar rätt.
Jag har redigerat nu, måste nog stämma?
Nej, det är fel.
(asinh(u)sin(v)cos(w)) = acosh(u)sin(v)cos(w).
Nu måste det stämma om jag inte gjort slarvfel.
Dubbelkolla för säkerhets skull. Sedan kolla om vektorerna är ortogonala.
Med skälarprodukten? Eller måste man använda annan metod? Hittar inget i kapitlet iaf :(
Varför skulle du behöva använda någon annan metod?
Smutsmunnen skrev:Varför skulle du behöva använda någon annan metod?
För att det är inte linjär algebra uppgift :')
Metoder från linjär algebra är relevanta i alla delar av matematiken.
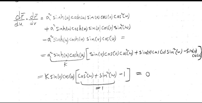
OK. Men jag ser nu att .
Så jag drar slutsatsen att koordinatsystemet inte är ortogonalt och därav behöver inte räkna vidare?
(cosh(x)) = sinh(x).
PATENTERAMERA skrev:(cosh(x)) = sinh(x).
Ok. Men de är fortfarande inte ortogonala?? Vill gärna gå vidare med denna uppgift.
Tillägg: 4 okt 2021 11:12
Jo, de är ortogonala.
