6
svar
179
visningar
Majskornet behöver inte mer hjälp
Cyklist accelererar
Får teckenfel men förstår inte varför :/


Majskornet skrev:Får teckenfel men förstår inte varför :/
Då ritar man en v-t-graf :)
Uppgiften liknar ju mycket denna som jag hjälpte dig med häromdagen:
https://www.pluggakuten.se/trad/tid-for-en-hiss-att-ta-sig-upp/
Har nog lite svårt att förstå hur man gör😅 Vad gör jag sen?
och varför blir det fel utan vt graf?

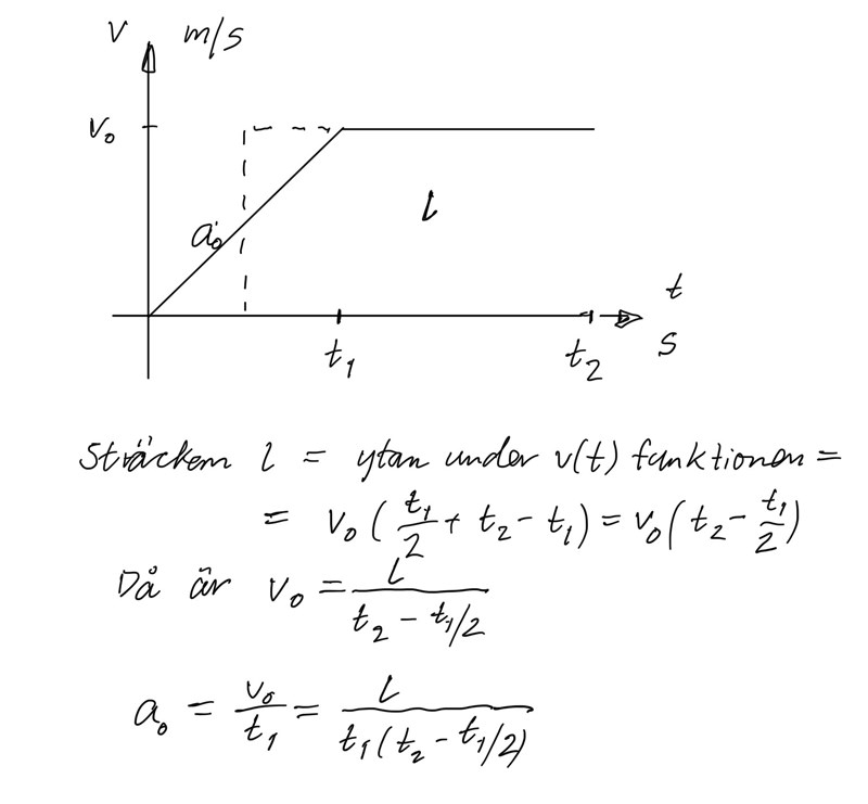
Här verkar det bli fel.

Det borde stå
v0(t2-t1) = l - v0t1/2.
och varför blir det fel utan vt graf?
För att det är så svårt att få t ex rätt tecken på alla termer och faktorer om man inte börja med att rita.
Åååh okej! Stort tack för hjälpen till er alla!
