Cylinderkoordinater
Jag får bara fel hela tiden när de här dyker upp. Hur får det rot till 0??

I cylindriska koordinater är rotationen för ett vektorfält:
(https://en.wikipedia.org/wiki/Del_in_cylindrical_and_spherical_coordinates#Del_formula)
Ser du att för ditt vektorfält?
Ja, med den formeln ser jag det. Jag hade en annan förut som jag verkar ha misstolkat. Hur fortsätter man sen? Misstänker att han stoppar in enhetscirkeln i integralen, jag kan ju i x och y, men hur?
Jag försökte, och verkar ha fått rätt svar, men vartifrån kom 1/p^2 i lösningsförlaget? Det var ju bara delat på en p i A?
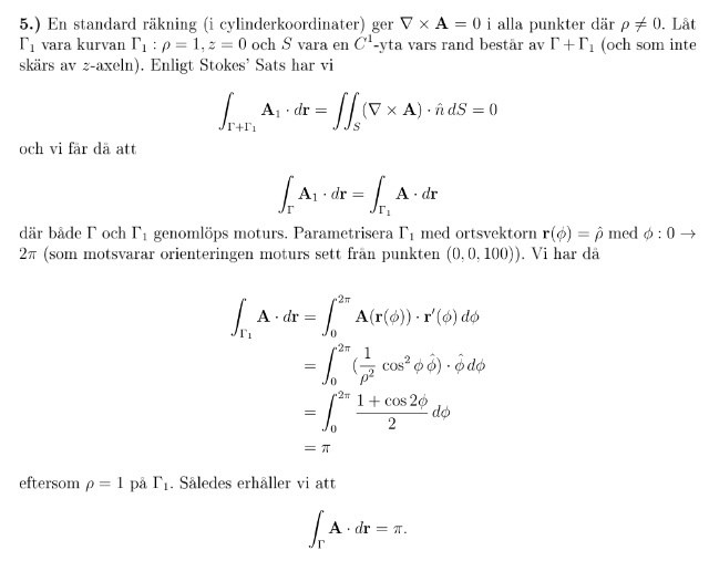
Eftersom vektorfältet inte är definierat då (längs -axeln) väljer man att införa kurvan (enhetscirkeln ett varv moturs) för att gå runt diskontinuiteten. Stokes sats ger:
(Notera att facit slarvar och missar minustecknet)
och då är:
alltså behöver man bara beräkna kurvintegralen av .
Så långt är jag med. Men vad kom 1/p^2 från. Det som står längre ner.
Micimacko skrev:Jag försökte, och verkar ha fått rätt svar, men vartifrån kom 1/p^2 i lösningsförlaget? Det var ju bara delat på en p i A?
Notationsanmärkning: det är rho (), inte p. Det kan mycket väl hända att båda förekommer samtidigt.
Micimacko skrev:Så långt är jag med. Men vad kom 1/p^2 från. Det som står längre ner.
Det fattar inte jag heller. Eftersom
borde ju bli:
Då tänker jag bara anta att det står fel i facit :) Men jag fattar ju nu, tack! :D
