D.E
Hej, vet någon vrf det blir fel.
kollade nyss i planering och uppgiften ska ej göras, men jag är nyfiken vrf.
Har jag gjort rätt?
tack på förhand.
Hej!
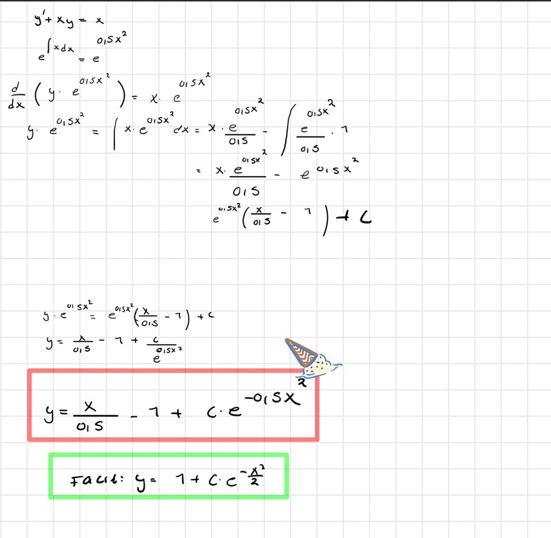
Du gör fel när du först försöker integrera , den har ingen fin primitivfunktion. Utöver det felet så verkar du också "tagit fel" på derivera och integrera i din sista integral, men det spelar såklart ingen roll när du ändå integrerar funktionen fel.
Alternativt så är differentialekvationen även separabel, du kan skriva .
Ska jag tänka på kedjeregeln
där e^ g, Är yttre funktion och g=x^2 är den inre funktionen
Och att y’=(1-y)X kan jag integrera MHA partiell integration
Mer specifikt , så att .
Jag skulle inte använda partiellintegration. Du har så att (för som du får undersöka separat) .
Tack för hjälpen
