Dagens epic fail 1 (det blev många)
.jpg?width=800&upscale=false)
För den första hittar jag att ration är 2/3. Då provade jag med b=16 och a=2. Och allt gick åt helvete.
noll punkter blir och integralen
Tror jag.
Rektangeln arean är 16*2*=...
Om jag försöker bevisa med min hatade algebra blir det ännu felare om det är än möjligt:

En sånt ekvation gör vem som helst trött av sitt eget liv. Jag har säkert missat/slarvat på vägen men kan inte upptäcka det :(
Ett första tips till att börja med. Förenkla integralräkningen genom att bara integrera från 0 till det positiva nollstället. Pga symmetri får du då ut exakt halva arean under kurvan.
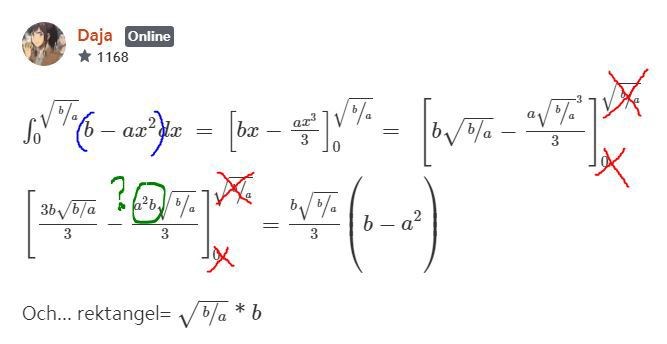
Och... rektangel=
Hmm det funkar, jag är bara HALV-trött av mitt eget liv :)
Nej men seriöst, jag ser en silver lining här (i alla fall är något liknande uttryck delat med 3)
Förutom Yngves utmärkta tips (med en nolla som en av gränserna halveras nästan räkningarna!) verkar det som du krånglar till det lite med roten-ur-upphöjt-till-tre-grejerna
Övertyga dig om att och
- Glöm inte parenteserna i integralen (blå markering)
- När du satt in integrationsgränserna i primitiva funktionen ska de inte längre skrivas ut uppe & nere till höger om hakparentesen (röd markering)
- Var får du a^2b ifrån (grön markering)? Visst vet du att ?
- Rektangelns area är rätt :-)

Guggle skrev :Förutom Yngves utmärkta tips (med en nolla som en av gränserna halveras nästan räkningarna!) verkar det som du krånglar till det lite med roten-ur-upphöjt-till-tre-grejerna
Övertyga dig om att och
Sorry, jag vet att jag krånglar till... men vad händer med den rosa a när den ska ''hoppa ur'' kvadratt rotten? Varför försvinner den?
EDIT: just det, det är inte a^2 som hoppar ur utan 1/a^2... Så a:n framme försvinner.
Yngve skrev :
- Glöm inte parenteserna i integralen (blå markering)
- När du satt in integrationsgränserna i primitiva funktionen ska de inte längre skrivas ut uppe & nere till höger om hakparentesen (röd markering)
- Var får du a^2b ifrån (grön markering)? Visst vet du att ?
- Rektangelns area är rätt :-)
Tack Yngve, som alltid!
Jag provar om:
= som blir 2/3 del av rektangel WHAAAAAAT !!!
GUD kolla vad händer när man drager bakom sig en algebra zombie!!!
Edit: det funkar för !
Edit 2: asså stor tack! För nomenclaturen också!
Hej!
Rektangelns bas är lång, där är den positiva lösningen till ekvationen
Rektangelns höjd är lång. Det betyder att rektangelns area () är
Arean () under kurvan är lika med integralen
Integralen kan beräknas exakt och är lika med talet vilket ger arean under kurvan
Jämförd med rektangelns area () så är arean under kurvan () gånger så stor, där
$$\displaystyle = 1 - \frac{1}{3}\frac{ax_0^2}{b}.
Men eftersom löser ekvationen så är vilket betyder att kvoten kan skrivas
Resultat: Oavsett hur parabeln ser ut så kommer arean under kurvan alltid att vara cirka 67 procent av rektangelns area.
Albiki skrev :Hej!
Arean () under kurvan är lika med integralen
Integralen kan beräknas exakt och är lika med talet vilket ger arean under kurvan
Jämförd med rektangelns area () så är arean under kurvan () gånger så stor, där
$$\displaystyle = 1 - \frac{1}{3}\frac{ax_0^2}{b}.
Men eftersom löser ekvationen så är vilket betyder att kvoten kan skrivas
Resultat: Oavsett hur parabeln ser ut så kommer arean under kurvan alltid att vara cirka 67 procent av rektangelns area.
Tack, det var mycket snygg!
Det är många av dina rader som försvinner:

Det är väl det du säger? (jag bara kollar att jag har riktigt följt...)
