2
svar
148
visningar
fysik3 behöver inte mer hjälp
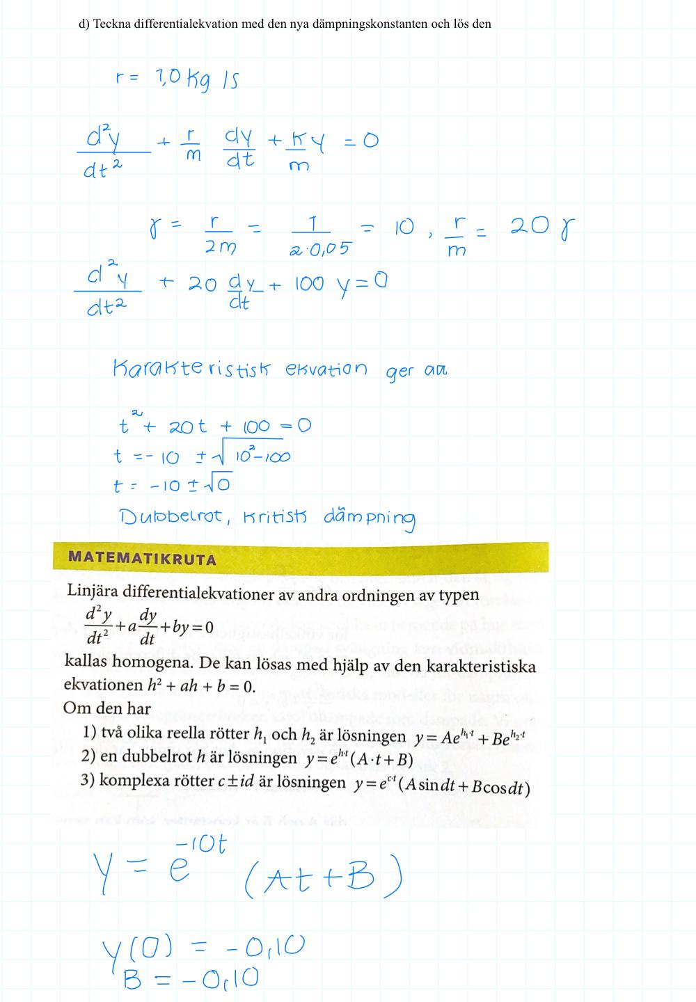
dämpad harmonisk svägning d) uppgiften




glömde att ha med ett minustecken i näst sista steget men lösningen bör väl vara rätt?? facit säger att det är vilket stämmer för en kritisk dämpad harmonisk svängning. Vad gör jag för fel?
Blir lite knas vid derivatan för att hitta A. Hur deriverar du?
åh, jag ser nu att jag bytte ut termen -10 till -0,10, tack svaret bör övernsstämma med facit nu