3
svar
99
visningar
DC-kretsar: hitta fel i min lösning
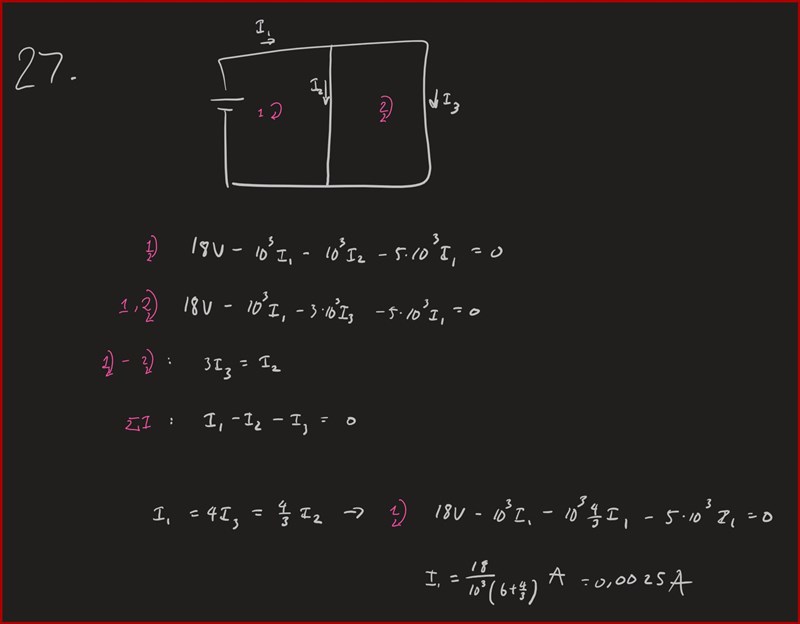
Hej, min lösning ger fel svar, men den är så kort, jag kan inte hitta något fel.


FACIT:
Effekterna som utvecklas i resistorerna är 7,1 mW, 4,0 mW, 1,3 mW samt 35,6mW.
Ersättningsresistansen för 1 kΩ parallellt med 3 kΩ är 0.75 kΩ.
Ja, men kan du hitta fel i min lösning?
Längst ner skriver du 6 + 4/3 där det ska vara 6 + 3/4.
Har inte letat efter fler fel.