De moivres formel

hejsan jag fick fel vinkel i början och korrigerade efter facit
Sedan försökte jag beräkna fram vinkeln men fick annat svar. Vad gör jag fel i c) ?
följde denna exempel.

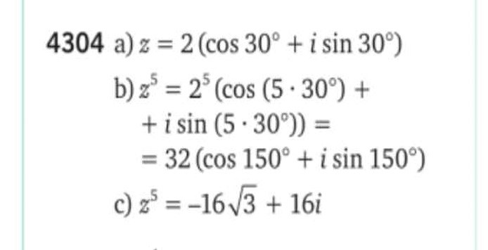
Om du markerar z i talplanet ser du en rätvinklig triangel med kateter roten ur 3 och 1. Det är en 30-60-90-graderstriangel som du måste lära dig för att klara övningar på komplexa tal. Hypotenusan är 2.
dvs z = 2 ei 30°
z5 har beloppet 25 och argumentet 30*5 grader
150°, det är en ny 30-60-90, så b = 25 / 2 = 24 och a = –24*(roten ur 3).
Uppgiften i facit har annat nummer (4302) än uppgiften du frågar om (4304).
EDIT Felskrivet, rättat nu.

Kan man resonera såhär?
Jag skrev fel, 5 gånger 30 är inte 210 utan 150.
Återkommer strax
Så här skulle jag skriva

Marilyn skrev:Jag skrev fel, 5 gånger 30 är inte 210 utan 150.
Återkommer strax
Denna post återkommer hela tiden. Jag blir inte av med den. Jag kan lägga till att
eiv kan skrivas cos v + i sin v
Själv tycker jag eiv är praktiskt