Definiera ett värde matematiskt
Hej, jag skulle uppskatta hjälp med hur jag kan definiera min variabel matematisk.
Om jag har ett värde som först är konstant i tidsperioden , avtar linjärt mellan tidsintervallet och sedan är konstant mellan , ökar linjärt i intervallet för att till sist hållas konstant för - hur kan man definiera detta matematiskt? (en bild över detta händelseförlopp är bifogat nedan)

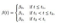
Jag gjorde detta för ett liknande händelseförlopp men där förändrades styckvis, det vill säga utan att öka/minska linjärt och istället direkt gå till det nya värdet och då definierade jag det enligt följande:

Skulle vilja använda mig av en liknande definition nu men vet inte riktigt hur jag ska få till den linjära biten samt då vi har betydligt fler värden nu än i den tidigare. Alla tips uppskattas!
De linjärt ökande/avtagande delarna kan ju beskrivas enligt , dvs med räta linjens ekvation.