1
svar
107
visningar
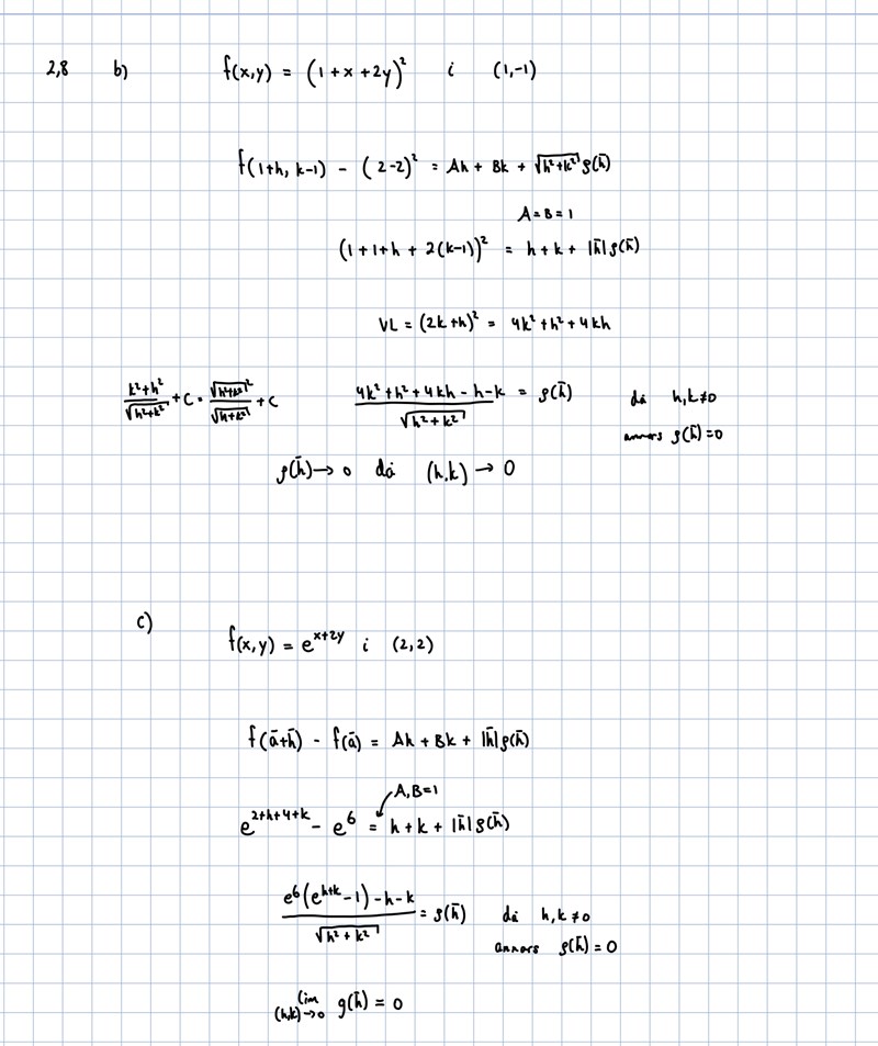
Definitionen av differentierbart
Är det så här man använder definitionen? Hur motiverar man att nämnaren avtar långsammare än täljare så att —> 0?

Här är definitionen 
Vi vill alltså hitta och visa att = 0 när (h,k) —> 0