Del C mafy 2016

hej!
Jag undrar hur jag ska veta att olikheten stämmer med min metod? Borde man ha löst på annat sätt? Känns som att jag gjorde fel approach
-1.jpg?width=800&upscale=false)
Har inte gått igenom alla steg, men har fått liknande lösning. Tänk på att det är en olikhet som ska lösas.

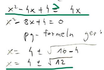
I översta raden fick jag olikheten:
Om man sätter VL = HL, så kan man räkna ut lösningen/skärningspunkten mellan VL och HL. Fick samma lösningar på x, men skrev om rotuttrycket.
Ett sätt att hitta lösningen är genom en teckentabell. Annars kan man titta på att vänsterledet är en andragradsfunktion i form av 'en glad gubbe' . Högerledet är en rät linje. Skärningspunkterna är i
Vilka intervall för x ger rätt lösningar?
Sten skrev:Har inte gått igenom alla steg, men har fått liknande lösning. Tänk på att det är en olikhet som ska lösas.
I översta raden fick jag olikheten:
Om man sätter VL = HL, så kan man räkna ut lösningen/skärningspunkten mellan VL och HL. Fick samma lösningar på x, men skrev om rotuttrycket.
Ett sätt att hitta lösningen är genom en teckentabell. Annars kan man titta på att vänsterledet är en andragradsfunktion i form av 'en glad gubbe' . Högerledet är en rät linje. Skärningspunkterna är i
Vilka intervall för x ger rätt lösningar?
Låter som att endast x>=4+2sqrt(3) och x<=4-2sqrt(3) uppfyller detta.

Det ser bra ut.
Sten skrev:Det ser bra ut.
Dock svarar facit såhär så jag vet ej vad rätt svar är. Kan man svara som jag gjorde ?


