del i att bestämma transfer function
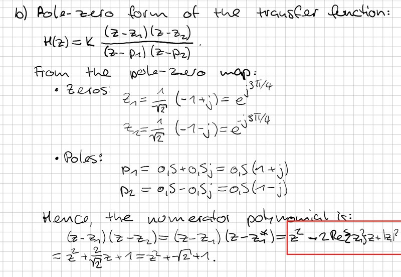
Halloj! Jag ska bestämma transfer funktionen för ett system. I bilden nedan går det att se vad poles och zeros är. Jag hänger med i allt förutom fram till hur de kommer fram till det röda inringade uttrycket. Är det nån annan som kanske förstår det?
Tack så mycket på förhand! :))
Utgår från att a* betyder konjugatet av a. (Man brukar använda streck över a, men min dator kan inte skriva detta så jag byter bokstav: z1 =a och använder din beteckning)
(z-a)(z-a*)=z(z-a*)-a(z-a*)=z2 -za*-az+aa*=z2 -z(a*+a)+aa*=z2 - z(2Re(a))+aa*
Spännande. Det är just den mittersta termen i z2 -z(a*+a)+aa* som jag inte förstår hur den blir z(2Re(a)).
Hmm eller det kanske är för att vi bara är intresserade av de reella värdena i denna uppgift. Det är nog också därför som det är absolutbellopet på på slutet?
a ka skrivas på rektangulär form:
Komplexkonjugatet är då
Vad blir då summan
?
juste ja, 2x blir summan av a + a*. Så då skriver de med andra ord för att det är 2*(de reella värdena) som är kvar?
Stämmer!