4 svar
100 visningar
CooltMedKemi_ behöver inte mer hjälp
CooltMedKemi_ 211
Postad: 19 feb 2021 16:32

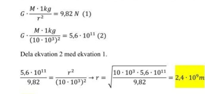
Dela ekvationer

Hej!

När jag ska dela ekvation 2 med ekvation 1, så fattar jag inte vad det är som händer på den sista raden? Hur delar man?

Tack på förhand!

Smaragdalena 78892 – Avstängd
Postad: 19 feb 2021 16:40

Menar du vad som händer vid pilen, eller vad man gör vid det sista likhetstecknet?

CooltMedKemi_ 211
Postad: 19 feb 2021 16:50

Det vid pilen! :)

Laguna 32140
Postad: 19 feb 2021 16:54 Redigerad: 19 feb 2021 16:55

Man delar G·M·1kg(10·103)2G\cdot\frac{M\cdot 1kg}{(10\cdot 10^3)^2} med G·M·1kgr2G\cdot\frac{M\cdot 1kg}{r^2}, vilket blir G·M·1kg(10·103)2G·M·1kgr2\frac{G\cdot\frac{M\cdot 1kg}{(10\cdot 10^3)^2}}{G\cdot\frac{M\cdot 1kg}{r^2}} och när man har förkortat bort en massa som är lika är det 1(10·103)21r2\frac{\frac{1}{(10\cdot 10^3)^2}}{\frac{1}{r^2}} = r2(10·103)2\frac{r^2}{(10\cdot 10^3)^2}.

CooltMedKemi_ 211
Postad: 19 feb 2021 17:08

Tusen tack snälla!!

Svara
Close