1
svar
200
visningar
Dela med bråk, åk 8
Just nu har jag "dela med bråk", och jag läser förklaringar men förstår ändå inte, här är några exempel:
a) 7/10 / 4/6
"Sju tiondelar Dividerat med fyra sjättedelar"
b) 3/ 2/4
"Tre dividerat med två fjärdedelar"
c) 1/6 /4
"En sjättedel dividerat med fyra"
Jag förstår inte hur jag ska göra, och jag undrar över skillnaden mellan a) och c)
Här finns en genomgång: https://www.matteboken.se/lektioner/skolar-8/brak/multiplikation-och-division-av-brak
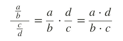
Du använder dig av den här formeln:

Om täljaren eller nämnaren inte är ett bråk kan du göra om det genom att först skriva talet som ett bråk med nämnaren 1, t ex:
Sen kan du använda formeln ovan.
Exempel: 2/3 / 4/5: